Читать книгу - "Прайс-менеджмент - Герман Симон"
Аннотация к книге "Прайс-менеджмент - Герман Симон", которую можно читать онлайн бесплатно без регистрации
Исследование рынка цифровых камер, проведенное Spann et al. [22], показало, что большинство компаний не осуществляют осознанно ни стратегии «снятия сливок», ни стратегии проникновения. Вместо этого, назначая цены запуска, они ориентируются на конкурентов. По нашему опыту, это также применимо к политике дисконтирования.
Даже инновационные продукты продаются с большими скидками на ранних стадиях жизненного цикла. Согласно классификации, которую мы ввели в главе 5, производители камер практикуют конкурентно-ориентированное ценообразование. Это указывает на относительно слабую дифференциацию продуктов, а также на краткосрочный прайс-менеджмент на этом высококонкурентном рынке.
7.2.1.2. Ценовые решения в поздних фазах
С началом фазы зрелости, иногда во время фазы роста (границы между фазами всегда размыты), на рынок приходят новые конкуренты. Второй момент связан с тем, что в фазе рыночной зрелости конкуренция превращается в игру с нулевой суммой. Иными словами, рост возможен только за счет конкуренции: один конкурент отнимает долю рынка у других. Этот сдвиг может сильно повлиять на прайс-менеджмент.
Если компании предвидят приход на рынок конкурентов, у них есть выбор из вариантов, представленных на рис. 7.11. Предупредительное снижение цен означает, что «первопроходец» снижает цены прежде, чем конкурент фактически выходит на рынок. Предупредительное снижение цен – это компромисс между краткосрочной и долгосрочной максимизацией прибыли. На коротком горизонте компания жертвует частью прибыли, но эффективнее обороняет долговременную рыночную позицию. Данная стратегия также помогает избежать недовольства существующих клиентов, когда компания вынуждена снижать цены под сильным давлением новых конкурентов. Несмотря на потенциальные преимущества, предупредительное снижение цен – это скорее исключение из правил. Компании редко это делают, если нет конкуренции. Другой аргумент состоит в том, что сниженная цена препятствует вхождению на рынок конкурентов. Это называется «сдерживающее ценообразование». На деле, однако, этот метод вряд ли удержит конкурентов от выхода на действительно привлекательный рынок.
Поэтому «первопроходцы» обычно склоняются ко второму варианту. Здесь предусматривается снижение цены после выхода на рынок конкурентов. Мы называем это «реактивным снижением цен». Конкурент-первопроходец снижает цену только после того, как новый конкурент выходит на рынок и угрожает отвоевать рыночную долю. Примером может послужить торговля бакалейными товарами в Германии. Когда ADLI включает в ассортимент новый брендированный продукт по цене на уровне или несколько ниже конкурентного, LIDL отвечает значительным снижением повседневных цен.

Рис. 7.11. Альтернативные стратегии при выходе на рынок конкурентов
ALDI реагирует на это снижение, и в некоторых ситуациях в борьбу вступают другие дискаунтеры, пока цена не устанавливается на уровне существенно ниже предыдущего. В 2015 году ADLI продавала баночку напитка Red Bull объемом 250 мл за €0,95. Сети супермаркетов EDEKA и REWE снизили цены до такого же уровня, так что можно было купить банку 250 мл в их магазинах за €0,95 [23].
А компания бритвенных принадлежностей Gillette избрала другой подход. Когда французская BIC указала, что планирует выйти на рынок одноразовых бритв, Gillette в предупредительном порядке снизила цены. За несколько месяцев до выхода BIC на рынок Gillette внедрила новую модель на 31 % дешевле предыдущего продукта. Так Gillette защитила свою рыночную позицию и оградила себя от атаки BIC. Очевидно, компания усвоила уроки предыдущих нападок BIC на рынках шариковых ручек и зажигалок. На этих рынках Gillette снизила цены только после того, как BIC уже отвоевала значительную рыночную долю. На обоих рынках Gillette утратила лидерство.
При варианте постоянных цен рыночный лидер сохраняет свою (высокую) цену даже после прихода конкурента, сознательно идя на потерю определенной доли рынка. Эта стратегия может оказаться чувствительной и прибыльной, если компания-лидер планирует уйти с рынка или внедрить новое поколение продукта. Старые модели могут по-прежнему генерировать прибыли долгое время, если у компании есть база очень лояльных клиентов.
Выход на рынок конкурентного продукта в фазе спада – это новая ситуация, требующая внимательного подхода к ценообразованию. Если мы ограничимся исключительно продуктом, жизненный цикл которого подходит к концу, то в целом будет оптимальным снизить цену, если и когда растет ценовая эластичность (в абсолютных терминах). Эта мера не может целиком компенсировать спад, однако может его ослабить по сравнению с удержанием постоянных цен. Ценообразование может практически не дать эффекта в плане предотвращения или замедления спада, если речь идет о продуктах устаревших или утративших конкурентоспособность.

Альтернативой снижения цен является стратегия «сбора урожая», при которой компания поддерживает высокие цены в фазе спада. Это может дать определенный эффект: компания соглашается на снижение объема продаж за счет получения высокой маржи. Высокие цены также показывают, что компания планирует ввести на рынок новый продукт на замену старому. Таким образом, можно избежать необходимости сильно поднимать цену нового продукта относительно старого. Далее, сравнительно высокая цена на старый продукт способствует каннибализации и, следовательно, плавной его замене. Можно не предпринимать активных мер по его выводу с рынка, рискуя расстроить существующих клиентов. Вместо этого клиенты по собственной воле переходят на новый продукт из-за высокой цены старого.
В этом разделе мы поговорим о взаимозависимости между долгосрочной оптимальной ценой и ее детерминантами и об отличиях от краткосрочной оптимальной цены. Начнем с анализа всего одной детерминанты (динамической функции «цена-отклик» или функции затрат) и рассмотрим соответствующие эффекты по отдельности.
7.2.2.1. Долгосрочная оптимальная цена с динамической функцией «цена-отклик»
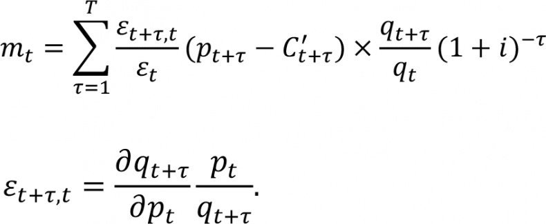
Максимизируем долгосрочную прибыль согласно целевой функции (7.1). Используем динамическую функцию «цена-отклик» qt = f(pt…., pt-T). Проведя реформулирование, получим условие для долгосрочной оптимальной цены [24]:

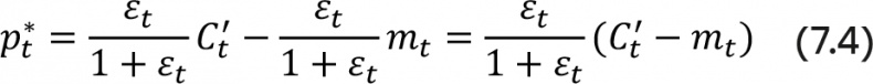
где pt* – долгосрочная оптимальная цена;
εt – краткосрочная ценовая эластичность;

εt+τ,t – динамическая ценовая эластичность, которая учитывает влияние ценовых мер, предпринятых в период t, на объем продаж в период t + τ. Согласно обычным обозначениям, qt – это объем продаж, pt – цена, Ct' – маржинальные затраты, а i – ставка дисконтирования.
Прочитали книгу? Предлагаем вам поделится своим впечатлением! Ваш отзыв будет полезен читателям, которые еще только собираются познакомиться с произведением.
Оставить комментарий
-
Вера Попова27 октябрь 01:40
Любовь у всех своя-разная,но всегда это слово ассоциируется с радостью,нежностью и счастьем!!! Всем добра!Автору СПАСИБО за добрую историю!
Любовь приходит в сентябре - Ника Крылатая
-
Вера Попова10 октябрь 15:04
Захватывает,понравилось, позитивно, рекомендую!Спасибо автору за хорошую историю!
Подарочек - Салма Кальк
-
Лиза04 октябрь 09:48
Роман просто супер давайте продолжение пожалуйста прочитаю обязательно Плакала я только когда Полина искала собаку Димы барса ♥️ Пожалуйста умаляю давайте еще !))
По осколкам твоего сердца - Анна Джейн
-
yokoo18 сентябрь 09:09
это прекрасный дарк роман!^^ очень нравится
#НенавистьЛюбовь. Книга вторая - Анна Джейн


