Читать книгу - "Прайс-менеджмент - Герман Симон"
Условие (7.4) в этом виде хорошо подходит для интуитивно привлекательной интерпретации. Условие для долгосрочной оптимальной цены отличается от краткосрочного варианта – формулы Аморозо – Робинсона (5.2) – дополнительным членом mt. Этот член соответствует дисконтированной денежной стоимости будущих контрибуционных маржей, полученных за счет изменения цены в период t. Данные эффекты, которые будут происходить позднее, следует отнести на счет ценовых мер, предпринятых в период t, поэтому они (в зависимости от знака) будут действовать как снижение или повышение маржинальных затрат в сумме, равной их денежной стоимости. Отклонение долгосрочной оптимальной цены от краткосрочного значения означает, что компания упускает краткосрочную прибыль в обмен на долгосрочную.
Долгосрочная оптимальная цена ниже краткосрочной, если поправочный член mt положительный. В этом случае все динамические ценовые эластичности отрицательные, то есть низкая цена сегодня обеспечит высокие объемы продаж в будущем. Очевидно, что это истинно для позитивных эффектов переноса. С другой стороны, долгосрочная оптимальная цена выше краткосрочной, когда все динамические ценовые эластичности положительны. Это всё равно что сказать: низкая цена сейчас снижает объемы продаж в будущем. Такое имеет место, когда добавочные продажи сейчас «заимствуются» у будущих продаж (эффект «притягивания»). Наличие эффекта изменения цены ведет к отрицательному mt и, таким образом, к повышению долгосрочной оптимальной цены.
Если знаки динамических ценовых эластичностей одинаковы, можно вывести при прочих равных следующие заключения. Отклонение долгосрочной оптимальной цены от краткосрочной выражено тем сильнее, чем:
• больше соотношение εt+τ,t/εt динамических и краткосрочных эластичностей (в абсолютном выражении);
• больше будущие контрибуционные маржи;
• ниже ставка дисконтирования;
• длиннее планируемый горизонт T;
• больше соотношение qt+τ/qt. Поскольку данное соотношение больше в восходящей части, части роста кривой жизненного цикла, чем на последующих фазах (при прочих равных), отклонение между ценами будет больше в начале жизненного цикла.
Общим знаменателем в этих утверждениях является то, что соответствующее отклонение больше усиливает будущие эффекты прибыли от текущих ценовых мер. Чем больше mt в абсолютных терминах, тем больше изменятся маржинальные затраты в результате динамической коррекции.
Отказ от краткосрочной прибыли, связанный с долгосрочной ценовой оптимизацией, можно рассматривать как вложение в маркетинг ради долгосрочной прибыли.
Долгосрочная оптимальная цена с переносом
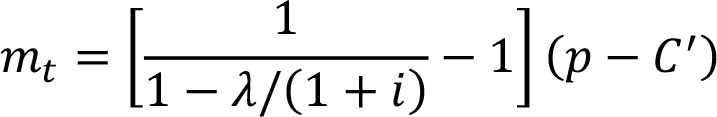
Если имеет место эффект переноса согласно формуле (7.2), можно выразить поправочный член mt в очень простом виде. Исходим из того, что будущие удельные контрибуционные маржи p – C' постоянны:

Проиллюстрируем это на числовом примере с коэффициентом переноса λ = 0,45. Как нам известно из табл. 7.1, данная величина типична для потребительских товаров. Период времени равен 2 месяцам, ставка дисконтирования i = 2 % (что соответствует 12,6 % годовых).
Другие параметры линейной динамической функции «цена-отклик» согласно формуле (7.2): a = 100, b = 10, C' = 5, q0 = 40.
Оптимальные цены, объемы продаж и прибыли для долгосрочной и краткосрочной оптимизации приведены в табл. 7.4. Долгосрочная оптимальная цена в период 1 на 9 % ниже краткосрочной. Для периода 2 справедливо обратное, хотя разница цен меньше. При долгосрочной оптимизации компания следует стратегии проникновения, поэтому в период 1 объем продаж выше, но прибыль меньше. В период 2 более сильная стартовая ситуация (благодаря эффекту переноса) используется для достижения повышенной прибыли. Потеря прибыли в период 1 составляет $5,78.
Эта инвестиция в маркетинг обеспечивает общую прибыль $227,88, которая на $5,68 больше, чем при краткосрочной оптимизации. Эта разница тем больше, чем сильнее эффект переноса.
Долгосрочная оптимальная цена с эффектами ценовых изменений
Теперь рассмотрим симметричный эффект изменения цен, который состоит в том, что равновеликое повышение или понижение цены оказывает на объем продаж одинаковый эффект. Эффект такого рода дает долгосрочную оптимальную цену ниже краткосрочной. За счет повышенной начальной цены компания создает люфт будущих ценовых снижений, реализация которых стимулирует объем продаж за счет эффекта изменения цены. В начале жизненного цикла эффекты ценовых изменений благоприятствуют стратегии «снятия сливок» с последующим снижением цен.
Асимметричные эффекты изменения цен (когда снижение цен сильнее влияет на объем продаж, чем их повышение) способствуют долгосрочной оптимальной ценовой стратегии под названием «стратегия пульсации». Оптимальная цена «пульсирует» между верхним и нижним порогами. На рис. 7.12 представлена стратегия пульсации с последующей динамической функцией «цена-отклик» (плюс означает повышение цены, минус означает понижение):

Эту стратегию иллюстрирует эмпирический пример потребительского товара долговременного пользования. Поскольку в этом случае важную роль играет реклама, мы включили логарифмическую переменную рекламы lnAt и вывели следующую функцию:

Таблица 7.4. Результаты долгосрочной и краткосрочной оптимизации


Рис. 7.12. Ценовая стратегия пульсации с асимметричным изменением цены
Все параметры были значимыми на уровне 5 %. Повышения и снижения цен оказывают асимметричные эффекты.
При маржинальных затратах C' = $180 и ставке дисконтирования 0 % нижняя оптимальная цена равна $233,40, а верхняя оптимальная цена равна $269,48. Средняя прибыль за период на основе стратегии пульсации равна $176,15.
Оптимальная единая цена будет равна $242,26 и принесет прибыль $153,39. Прибыль при пульсации цен на 14,8 % выше. Так называемая стратегия дисконтирования Hi-Lo следует подобной модели пульсации [25]. Высокие и низкие цены чередуются в относительно регулярном режиме. Асимметричные эффекты ценовых изменений дают логическое объяснение этой схеме ценообразования.
Что касается непропорциональных эффектов изменения цен, то, согласно модели Гутенберга, эффект изменения цен непропорционально слабый, если изменения незначительные, и непропорционально сильный, если изменения значительные. Подобная тенденция отклика говорит в пользу повторных массированных ценовых снижений с последующим повышением в несколько этапов. Данная асимметричная пульсация показана в графическом виде на рис. 7.13.
Прочитали книгу? Предлагаем вам поделится своим впечатлением! Ваш отзыв будет полезен читателям, которые еще только собираются познакомиться с произведением.
Оставить комментарий
- Vera24 апрель 16:25Мемуары голодной попаданки - Наталья ВладимироваБольшое спасибо. Прочитала на одном дыхании. Очень положительная героиня. Желаю автору здоровья и новых увлекательный книг.
- Кира18 апрель 06:45Метро 2033. Рублевка - Сергей АнтоновВот насколько Садыков здесь серьезный и бошковитый, и какой он в третьей книге... Мда. Экранировать Пирамидку лучше было надо. Юрик... Блин, вот, окромя очишуенной
- Кира16 апрель 16:10Рублевка-3. Книга Мертвых - Сергей АнтоновБольше всех переживала за Степана, Бориса, и Кроликова, как ни странно. Черный Геймер, почти, как Черный Сталкер, вот есть что-то общее в так сказать ощущениях от
- Ольга18 февраль 13:35Измена. Не прощу - Анастасия ЛеманнИзмена .не прощу часть первая закончилась ,простите а где же вторая часть хотелось бы узнать

