Читать книгу - "Прайс-менеджмент - Герман Симон"
Аннотация к книге "Прайс-менеджмент - Герман Симон", которую можно читать онлайн бесплатно без регистрации
50. Schmalensee, R. (1984). Gaussian Demand and Commodity Bundling // The Journal of Business. 57(1). P. 211–230.
51. Prasad, A., Venkatesh, R. & Mahajan, V. (2015). Product Bundling or Reserved Product Pricing? Price Discrimination with Myopic and Strategic Consumers // International Journal of Research in Marketing. 32(1). P. 1–8.
52. Bayerische Motoren Werke (BMW) (2015). http://www.bmw.de/de/neufahrzeuge/7er/limou sine/2012/start.html. По состоянию на 5 ноября 2015 г.
53. Garraham, M. & Bradshaw, T. (4 апреля 2015 г.). Jay Z Relaunches Tidal as a Friend of Artists. Financial Times. P. 10.
54. Gropp, M. (1 апреля 2015 г.). Eine musikalische Unabhängigkeitserklärung: Popstars wie Madonna, Rihanna und Jay-Z fordern digitale Musikdienste mit einem eigenen Angebot heraus. Frankfurter Allgemeine Zeitung. P. 15.
Решение. Долгосрочная оптимизация цен

Целью любой компании должна стать долгосрочная (а не краткосрочная) максимизация прибыли. Данная задача аналогична максимизации акционерной стоимости. До сих пор мы не рассматривали причинно-следственные связи на временных горизонтах. При долгосрочной оптимизации цен необходимо учитывать, что детерминанты оптимальной цены могут иметь динамический характер – это цели, функция «цена-отклик» и функция затрат. Условия конкуренции также меняются, как правило, в течение жизненного цикла продукта или рынка.
В данной главе мы изучим, как эффекты ценовых изменений, эффекты переноса и кривая опытности влияют на оптимальное ценообразование. В рамках вступительной фазы жизненного цикла продукта мы рассмотрим две стандартные стратегии – «снятие сливок» и «проникновение». Затем на примере нескольких случаев мы продемонстрируем различия между краткосрочными и долгосрочными оптимальными ценами. И в завершение мы поговорим о прайс-менеджменте и маркетинге отношений с качественной точки зрения.
В главе 5 мы рассматривали одномерные цены. Оптимизация цен сосредоточивалась на одном продукте, одной цене и одном периоде. В главе 6 мы включили в общую картину многомерные ценовые решения, то есть множественные цены для одного продукта или для нескольких. В обоих случаях мы исходили из того, что предметом анализа является только один период времени. Это так называемый статический анализ. Говоря о дифференциации исходя из временного критерия, мы не включали сюда взаимосвязи между периодами времени. Иными словами, мы проводили статичные сравнения. В этой главе мы будем явным образом учитывать несколько периодов, исходя из того, что текущая цена влияет на будущие объемы продаж и прибыли. Подобные эффекты должны приниматься в расчет при установлении текущей цены. Однако мы будем ограничиваться одним продуктом [1]. Задача анализа на основе нескольких временных периодов – установить оптимальные цены на длительный срок.
Динамическая перспектива влияет на все детерминанты ценового решения, среди которых:
• целевая функция (то есть что именно мы стараемся максимизировать);
• функция «цена-отклик»;
• функция затрат.
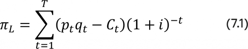
В действительности компании в большинстве случаев не занимаются максимизацией прибыли на один отдельно взятый период. Вместо этого они стараются обеспечить и максимизировать прибыль на длительный срок. Именно в этом и заключается смысл акционерной стоимости, как мы видели в главе 2. Учет множественных периодов при планировании означает, что денежные потоки возникают в различных временных точках. Эти разности по времени устраняются в долгосрочной целевой функции возвращением скидки на момент принятия решения t = 0. Целевая функция долгосрочной максимизации прибыли выглядит так:

где πL – сумма дисконтированной прибыли (L означает «долгосрочный»); pt – цена в соответствующий период t = (1….,T); qt – объем продаж в период t; Ct – затраты в период t; i – процентная ставка дисконтирования.
Если соответствующие эффекты проявляются во всех периодах, все цены pt, tj (1….,T) должны одновременно включаться в решение в целях максимизации долгосрочной прибыли. Основной вызов долгосрочной ценовой оптимизации кроется в выборе между краткосрочными и долгосрочными высокими прибылями. Повышенная процентная ставка i ведет к более резкому дисконтированию последующих денежных потоков. Это значит, что они в меньшей степени влияют на общую долгосрочную прибыль. Чем выше ставка дисконтирования, тем выше степень подобия долгосрочной оптимальной цены и ее статичного аналога. На практике, однако, компания может только назначить и реализовать обязывающую цену на период 1. Таким образом, компания в целом оптимизирует цену на период 1 и принимает в расчет будущие эффекты в количественной или, как минимум, в качественной их форме.
Долгосрочный анализ позволяет расширить функцию «цена-отклик», включая следующие положения.
• Рынок и условия конкуренции в отношении продукта со временем меняются и зачастую следуют модели, которая называется жизненным циклом продукта.
• Текущие цены влияют на будущие объемы продаж и цены.
Эти положения являются фундаментальными основами долгосрочной ценовой оптимизации.
7.1.2.1. Жизненный цикл продукта
Жизненный цикл продукта или бренда можно представить в виде временного ряда продаж. Понятие жизненного цикла помогает описать и объяснить развитие процесса продаж на временном горизонте. Обычно жизненный цикл делится на четыре фазы: внедрение на рынок, рост, зрелость и спад. Единой теоретической основы данной концепции не существует. Типичная S-образная кривая жизненного цикла объясняется, как правило, результатами изучения диффузионных процессов. В частности, согласно теории Роджерса [2], распределение временных интервалов между запуском продукта и его принятием отдельными потребителями близко к нормальному. Те, кто быстро принимает новый продукт, и те, кому требуется для этого больше времени, составляют меньшинство относительно доли населения в целом, которая принимает продукт за среднее время.
Простая в понимании концепция жизненного цикла сильно повлияла на маркетинговое мышление. Следует, однако, избегать обобщенных выводов о форме кривой жизненного цикла. Жизненный цикл продукта не следует в своем развитии некоему общему закону, но подчиняется комбинации причинно-следственных факторов, специфичных для каждого продукта в отдельности. К таким факторам принадлежат уровень инновации, степень научения, которая потребуется клиентам и продавцам для ознакомления с продуктом, а также динамика конкуренции. Цены могут сильно влиять на степень диффузии.
Прочитали книгу? Предлагаем вам поделится своим впечатлением! Ваш отзыв будет полезен читателям, которые еще только собираются познакомиться с произведением.
Оставить комментарий
-
Вера Попова27 октябрь 01:40
Любовь у всех своя-разная,но всегда это слово ассоциируется с радостью,нежностью и счастьем!!! Всем добра!Автору СПАСИБО за добрую историю!
Любовь приходит в сентябре - Ника Крылатая
-
Вера Попова10 октябрь 15:04
Захватывает,понравилось, позитивно, рекомендую!Спасибо автору за хорошую историю!
Подарочек - Салма Кальк
-
Лиза04 октябрь 09:48
Роман просто супер давайте продолжение пожалуйста прочитаю обязательно Плакала я только когда Полина искала собаку Димы барса ♥️ Пожалуйста умаляю давайте еще !))
По осколкам твоего сердца - Анна Джейн
-
yokoo18 сентябрь 09:09
это прекрасный дарк роман!^^ очень нравится
#НенавистьЛюбовь. Книга вторая - Анна Джейн


