Читать книгу - "Прайс-менеджмент - Герман Симон"
Аннотация к книге "Прайс-менеджмент - Герман Симон", которую можно читать онлайн бесплатно без регистрации
1. Совокупное пакетирование. Цена пакета в точности соответствует сумме цен на отдельные продукты. Совокупное пакетирование цен использует Amazon для книг, кухонных товаров и товаров для дома.
2. Совокупное пакетирование с надбавкой: Цена пакета выше суммы отдельных цен. Это достаточно редкая форма. Один из примеров ее применения – это полные коллекции марок, за которые продавец может потребовать надбавку.
3. Совокупное пакетирование со скидкой: Цена пакета включает скидку, то есть она ниже суммы отдельных цен. Это обычная схема.
Важный аспект совокупного пакетирования со скидкой – это способ подачи снижения цены. Есть три способа представить цену и/или скидку.
1. Назначение цены на единый пакет. Цена пакета со скидкой показана вместе с ценами на отдельные компоненты (например, меню в ресторане).
2. Лидерское пакетирование. Клиент получает первый продукт по обычной цене, но дополнительные продукты из пакета предоставляются ему с нарастающей скидкой или даже бесплатно. Розничные сети торговли одеждой, например, Tie Rack или Jos. A. Bank, применяют данный подход, продавая первый товар за полную цену, а дополнительные – за полцены или ниже.
3. Назначение цены на единый пакет. На все продукты в пакете дается скидка. Один из примеров – онлайн-продажа вина, когда предлагается скидка в $15 с общей суммы, если клиент заказывает пакет из шести сортов вина.
Комбинированное предложение нескольких продуктов в виде пакета по одной общей цене – эффективный способ извлечения потенциальной прибыли. Пакетирование сокращает неоднородность спроса. Оно применяется в чистой или смешанной форме. Компании должны индивидуально, в зависимости от конкретной ситуации, определять, какая форма лучше и когда распакетирование даст лучшие результаты. Общего правила не существует, поскольку решения в области пакетирования зависят от распределения готовности платить клиентов.
В этой главе мы рассматривали оптимизацию многомерных цен и ее влияние на прибыль. Подведем общие итоги.
• По сравнению с одномерным ценообразованием многомерные цены способны генерировать значительно более высокие прибыли. Причина в том, что с точки зрения геометрии потенциальная прибыль напоминает треугольник. Одномерная, или единая, цена способна принять только форму прямоугольника, площадь которого в принципе меньше, чем площадь треугольника.
• Оптимизация многомерных цен требует глубинного понимания, а также более подробной информации, чем одномерное ценообразование.
• Следует подумать о дифференциации цен, если клиенты различаются по готовности платить или иным аспектам, важным в ценообразовании. Дифференциация цен может основываться на таких характеристиках, как время, регион, продукт, объем и т. д. Можно комбинировать несколько критериев.
• Многомерность может быть производным различных ценовых параметров. Можно реализовать ценовую дифференциацию исходя из объемов с помощью прямых скидок за объем покупки, комбинирования постоянных и переменных компонентов цены, двухтарифных или многотарифных планов или дискретных ценовых точек. Во всех случаях важно поддерживать эффективную разбивку, то есть препятствовать клиентам с высокой готовностью платить делать покупки по низким ценам. Это единственный способ извлечь как можно больше прибыли в треугольнике прибыльности. Неэффективная разбивка приводит к существенному риску.
• Мультиперсональное ценообразование предусматривает перенесение остаточной или нереализованной готовности платить с одного клиента на другого.
• Компании, которые предлагают больше одного продукта, должны учитывать взаимозависимости между издержками и продуктами при оптимизации цен. Цены на взаимозависимые продукты необходимо оптимизировать одновременно. Следует принимать во внимание влияние цены на один продукт на прибыль от других и, следовательно, общую прибыль компании.
• Для заместительных продуктов существует общее правило: разница между перекрестной оптимальной ценой продукта и его изолированной оптимальной ценой зависит от количества заместительных продуктов, их перекрестных ценовых эластичностей и удельной контрибуционной маржи. Чем больше эти коэффициенты, тем больше разница между перекрестными и изолированными оптимальными ценами продуктов.
• Для взаимодополняющих продуктов справедливо обратное. Чем выше данные коэффициенты, тем ниже перекрестная оптимальная цена продукта относительно изолированной.
В этом случае оптимальная цена продукта может быть меньше маржинальных затрат (даже иметь отрицательное значение).
• При пакетировании цен продукты предлагаются в виде комплекта, а не по отдельности. Обычно цена пакета ниже суммы отдельных цен. Пакетирование цен можно использовать в чистом виде (клиент может купить только пакет целиком) или в смешанном (можно купить пакет или его компоненты по отдельности). Преимущества пакетирования цен проистекают из переноса нереализованной готовности платить с одного продукта на другой. Это всё равно, что сказать: неоднородность клиентов снижается, и дифференциация цен становится эффективнее. Пакетирование цен может обеспечить существенное повышение прибыли.
• Дифференциация цен приводит к повышению сложности и затратности. Таким образом, следует оценивать отдачу от предполагаемых затрат. Главное – не максимальная дифференциация цен, а оптимальный баланс между маржинальной прибылью и издержками от дифференциации. Следует также учитывать организационные и юридические аспекты.
Хотя мы не можем с высокой степенью достоверности говорить о выгодах ценовой дифференциации, можно сказать, что она почти всегда имеет смысл. Основой ее надлежащего применения является в том числе обретение глубинного понимания ее разнообразных форм, получение необходимой информации и эффективное внедрение. Если компании не удается провести разбивку клиентских сегментов по критерию готовности платить, дифференциация цен вполне способна негативно повлиять на прибыли. Но при надлежащем использовании она станет фактором существенного прироста прибыльности.
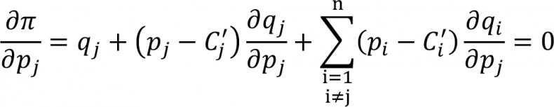
Чтобы принять решение относительно оптимальных цен pi*…., pn*, мы выводим частные производные функции прибыльности для всех цен. Получаем:

где Cj' – маржинальные затраты для продукта i, i = 1….,n. Для общей оптимизации продуктовой линейки нужно установить производное для всех n продуктов равным нулю (необходимое условие). Простое переформулирование (поделить на qj, умножить на pj, включить эластичность согласно формулам (6.3) и (6.4)) дает условие оптимальности.
1. Poundstone, W. (2010). Priceless: The Myth of Fair Value (And How to Take Advantage of It). New York: Hill and Wang.
Прочитали книгу? Предлагаем вам поделится своим впечатлением! Ваш отзыв будет полезен читателям, которые еще только собираются познакомиться с произведением.
Оставить комментарий
-
Вера Попова27 октябрь 01:40
Любовь у всех своя-разная,но всегда это слово ассоциируется с радостью,нежностью и счастьем!!! Всем добра!Автору СПАСИБО за добрую историю!
Любовь приходит в сентябре - Ника Крылатая
-
Вера Попова10 октябрь 15:04
Захватывает,понравилось, позитивно, рекомендую!Спасибо автору за хорошую историю!
Подарочек - Салма Кальк
-
Лиза04 октябрь 09:48
Роман просто супер давайте продолжение пожалуйста прочитаю обязательно Плакала я только когда Полина искала собаку Димы барса ♥️ Пожалуйста умаляю давайте еще !))
По осколкам твоего сердца - Анна Джейн
-
yokoo18 сентябрь 09:09
это прекрасный дарк роман!^^ очень нравится
#НенавистьЛюбовь. Книга вторая - Анна Джейн


