Читать книгу - "Деньги, банковский кредит и экономические циклы - Хесус Уэрта де Сото"
Аннотация к книге "Деньги, банковский кредит и экономические циклы - Хесус Уэрта де Сото", которую можно читать онлайн бесплатно без регистрации
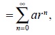
[21] 1 219 512 + 1 219 512 · 0,878 + 1 219 512 · 0,8782 + … =
= a + ar + ar2 +… =
где: a = 1 219 512 д.е.,
а общий коэффициент
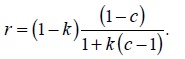
Так происходит оттого, что в нашем примере r будет равно 80 %, т. е. (1–k), от доли депозитов, вновь созданных каждым банком на каждой стадии. Эта доля, рассчитанная по формуле [3], равняется

Отсюда
[22]
И, поскольку |r| < 1, можно применить формулы [11] и [12]:
[23]
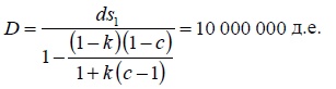
Таким образом D, сумма депозитов в банковской системе, будет равна:
[24]
В этой формуле ds1 обозначает вторичные депозиты банка А и равна 1 219 512 д.е.
Чистая кредитная экспансия x в банковской системе в целом будет равна:
[25] x = D – d = 10 000 000 – 1 000 000 = 9 000 000 д.е.
Общий итог сведен в табл. 4–1 и на рис. 4–1. Подробности даны для каждого банка – члена банковской системы.
Таблица 4-1
Система банков «обычного» размера
(k = 0,2; c = 0,1)

Примечание: последние три цифры округлены.
Создание кредита в системе мелких банков
Теперь предположим, что система состоит только из очень мелких банков, для которых k = 0, а с = 0,1. Бухгалтерские проводки для такой банковской системы будут выглядеть следующим образом.
Когда в банк А сделан депозит до востребования в размере 1 000 000 д.е.:


Рис. 4–1. кредитная экспансия в банковской системе *
Примечание: ввиду недостатка места области R и P не соответствуют их реальной величине.
* На основе рисунка из: C.A. Philips in Bank Credit, op. cit., p.61.
Когда Z снимает с депозита 900 000 д.е., чтобы заплатить Y, баланс банка А приобретает такой вид:

Если Y, в свою очередь, хранит полученные деньги в другом мелком банке В, у которого c = 0,1 и k = 0, то последуют проводки:

А баланс банка В будет выглядеть так:

Теперь если V снимает с депозита в своем банке полученный кредит, чтобы уплатить U, а U хранит деньги уже в другом банке – банке С, столь же мелком, т. е. у которого k = 0, а c = 0,1, то в регистрах банка С будут отражены проводки:

А баланс банка С приобретет следующий вид:

Когда Т заплатит своему кредитору S, при том что S хранит свои деньги в мелком банке D (у которого точно так же c = 0,1, а k = 0), будут сделаны бухгалтерские записи:

А баланс банка D станет выглядеть следующим образом:

Общая сумма депозитов в системе очень малых банков равна сумме последовательности, отраженной в формуле [8], которая относится к банку-монополисту:
[26] 1 000 000 + 1 000 000 · 0,9 + 1 000 000 · 0,92 +1 000 000 · 0,93 + … =
где: a = 1 000 000;
r = 0,9.
Как показано в прим. 27, эта сумма, в свою очередь, равна:

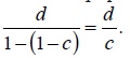
А поскольку a = d = 1 000 000 д.е., вложенных первоначально, то общую сумму депозитов можно рассчитать по формуле
[27]
Эта формула идентична мультипликатору депозитов для случая банковской системы, состоящей из единственного банка-монополиста [14].
Прочитали книгу? Предлагаем вам поделится своим впечатлением! Ваш отзыв будет полезен читателям, которые еще только собираются познакомиться с произведением.
Оставить комментарий
-
Вера Попова27 октябрь 01:40
Любовь у всех своя-разная,но всегда это слово ассоциируется с радостью,нежностью и счастьем!!! Всем добра!Автору СПАСИБО за добрую историю!
Любовь приходит в сентябре - Ника Крылатая
-
Вера Попова10 октябрь 15:04
Захватывает,понравилось, позитивно, рекомендую!Спасибо автору за хорошую историю!
Подарочек - Салма Кальк
-
Лиза04 октябрь 09:48
Роман просто супер давайте продолжение пожалуйста прочитаю обязательно Плакала я только когда Полина искала собаку Димы барса ♥️ Пожалуйста умаляю давайте еще !))
По осколкам твоего сердца - Анна Джейн
-
yokoo18 сентябрь 09:09
это прекрасный дарк роман!^^ очень нравится
#НенавистьЛюбовь. Книга вторая - Анна Джейн


