Читать книгу - "Деньги, банковский кредит и экономические циклы - Хесус Уэрта де Сото"
Аннотация к книге "Деньги, банковский кредит и экономические циклы - Хесус Уэрта де Сото", которую можно читать онлайн бесплатно без регистрации
С точки зрения экономической теории главное неудобство обеих бухгалтерских систем состоит в том, что они отражают намного меньший объем создания депозитов и предоставления кредитов, чем существующий на самом деле. То есть они показывают лишь малую долю общего объема депозитов и кредитов, которые способна создать банковская система в целом. Этот важный факт может быть установлен, лишь когда мы рассматриваем воздействие практики частичного резервирования с точки зрения банковской системы в целом. Однако вначале необходимо установить пределы создания депозитов и предоставления кредитов для случая изолированного банка.
Способность изолированного банка к кредитной экспансии и к созданию депозитов
Рассмотрим пределы, в которых изолированный банк из ничего может создавать депозиты и выдавать кредиты. Пусть имеются следующие переменные:
d – деньги, первоначально размещенные в банковских хранилищах;
d1 – деньги, или резервы, покидающие банк в результате предоставления кредитов;
x – максимально возможное для банка расширение кредита на основе d;
c – наличные деньги, или резервное покрытие, поддерживаемое банком в соответствии с опытом банкира и его осторожной оценкой того, сколько ему нужно денег для удовлетворения всех его обязательств;
k – доля выданных кредитов, которая в каждый момент времени в среднем остается неиспользованной заемщиками.
Из данных определений ясно, что d1 – сумма резервов, уходящих из банка, будет равна сумме выданных кредитов, умноженных на процент их использования заемщиками:
[1] d1= (1 – k)x.
Кроме того, если считать, что деньги, покидающие банк, т. е. d1, равны сумме первоначально сделанных вкладов d минус минимальная величина резерва cd в отношении первоначально депонированных денег плюс доля неиспользованного объема предоставленных займов ck, тогда имеем:
[2] d1= d – (cd + ckx).
Если теперь в формулу [2] подставить значение d1 из формулы [1], то получим:
(1 – k)x = d – (cd + ckx).
Теперь решим уравнение, вынося за скобки общие множители, чтобы найти значение x:
(1 – k) x = d – cd – ckx;
(1 – k) x + ckx=d – cd;
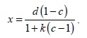
x (1 – k + ck) = d(1 – c);
Отсюда максимальное кредитная экспансия x, на которую может пойти изолированный банк, предоставляя кредит из ничего, равна[270]:

Можно представить эту формулу иначе:
[3].
Из формулы [3] видно, что коэффициент резервирования c и средний процент неиспользованных займов k оказывают противоположное влияние на способность отдельного банка создавать кредиты и депозиты. Чем ниже c и чем выше k, тем выше будет x. Поэтому экономическая логика формулы [3] очень проста: чем выше коэффициент резервирования, который, по оценке банка, необходимо поддерживать, тем меньше кредитов он способен предоставить. В противоположность этому, если коэффициент резервирования или резервные требования остаются неизменными, тогда чем меньше средств, предоставленных в виде кредитов, по мнению банка, будет в среднем изъято заемщиками, тем больше средств будет доступно для расширения кредитования.
До сих пор мы полагали k средним процентом займов, не использованных заемщиками. Однако, согласно С. А. Филлипсу, k может скрывать иное явление, оказывающее в итоге то же влияние[271]. Например, k может отражать вероятность того, что на рынке с небольшим числом банков заемщик осуществит платеж другому клиенту того же банка. Считается, что в таких случаях эти клиенты внесут чеки на свои счета в одном и том же банке, и таким образом деньги не покидают банка. Это явление имеет тот же самый конечный эффект, как и увеличение среднего процента кредитов, не использованных заемщиками. Чем меньше банков работает на рынке, тем выше будет k, а чем выше k, тем меньше денег уходит из банка и тем выше способность банка к расширению кредитов. Одно из сильнейших побуждений, формирующих тенденцию банков к слияниям и поглощениям, которое при банковской системе с частичным резервированием всегда было очевидным, состоит именно в желании увеличить k[272]. Чем больше происходит банковских слияний и чем больше в результате слияний увеличивается рыночная доля отдельных банков, тем выше вероятность того, что граждане, получившие на рынке фидуциарные средства какого-либо банка, окажутся его клиентами. Поэтому увеличатся и k, и соответствующая способность создавать из ничего кредиты и депозиты, а связанная с этим прибыль вырастет в еще большей степени. Величина k будет расти и тогда, когда денежные вклады будут вноситься в другие банки, которые, в свою очередь, расширят выдачу кредитов, и их заемщики в конечном счете вложат в начальный банк значительную часть полученных ими новых денег. Это явление также ведет к росту денежных резервов банка и, следовательно, его способности к кредитной экспансии.
Прочитали книгу? Предлагаем вам поделится своим впечатлением! Ваш отзыв будет полезен читателям, которые еще только собираются познакомиться с произведением.
Оставить комментарий
-
Вера Попова27 октябрь 01:40
Любовь у всех своя-разная,но всегда это слово ассоциируется с радостью,нежностью и счастьем!!! Всем добра!Автору СПАСИБО за добрую историю!
Любовь приходит в сентябре - Ника Крылатая
-
Вера Попова10 октябрь 15:04
Захватывает,понравилось, позитивно, рекомендую!Спасибо автору за хорошую историю!
Подарочек - Салма Кальк
-
Лиза04 октябрь 09:48
Роман просто супер давайте продолжение пожалуйста прочитаю обязательно Плакала я только когда Полина искала собаку Димы барса ♥️ Пожалуйста умаляю давайте еще !))
По осколкам твоего сердца - Анна Джейн
-
yokoo18 сентябрь 09:09
это прекрасный дарк роман!^^ очень нравится
#НенавистьЛюбовь. Книга вторая - Анна Джейн


