Читать книгу - "Деньги, банковский кредит и экономические циклы - Хесус Уэрта де Сото"
Аннотация к книге "Деньги, банковский кредит и экономические циклы - Хесус Уэрта де Сото", которую можно читать онлайн бесплатно без регистрации
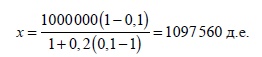
К примеру, если мы предположим, что коэффициент резервирования или резервные требования c равны 10 %, что доля неиспользованных кредитов k равна 20 % (эта доля также включает влияние большого числа клиентов банка, а также другие факторы) и что сумма изначально внесенных в банк вкладов d равна 1 000 000 д.е., то, подставляя эти значения в формулу [3], получим:
[4]
Отсюда мы видим, что банк, принявший вкладов до востребования на сумму 1 000 000 д.е., при поддержании 10 %-ного коэффициента резервирования и 20 %-ного k может предоставлять кредиты не на 900 000 д.е., как мы предполагали для иллюстрирования бухгалтерской записи (18) и последующих, а на значительно большую сумму 1 097 560 д.е. Следовательно, даже для случая изолированного банка способность к кредитной экспансии и созданию депозитов на 22 % выше, чем мы предположили в записи (18) и последующих[273]. Поэтому нам следует изменить наши прежние бухгалтерские записи, чтобы, следуя англосаксонской системе учета, отразить, что при c = 0,1 и k = 0,2 банк сможет расширить свой кредит до 1 097 560 д.е. вместо предполагаемых ранее 900 000 д.е., т. е. что способность банка к кредитной экспансии на 22 % выше. Измененные записи и соответствующий им баланс (ср. с записями (18) и (19)) будут выглядеть следующим образом:

Эти записи соответствуют начальному вкладу в размере 1 000 000 д.е. и созданию изолированным банком из ничего кредитов и депозитов на сумму 1 097 560 д.е. Значение k (равное 0,2) указывает на то, что заемщики в среднем используют 80 % средств, которые они взяли в долг. Когда производится такое снятие денег со счета (и даже если снимается больший объем, при условии что несколько конечных получателей денег являются клиентами того же самого банка и хранят деньги в нем), производится следующая запись[274]:

При этом банковский баланс выглядит следующим образом:

Очень маленький банк
Теперь рассмотрим особый вид изолированного банка – очень маленький, «лилипутский» банк, т. е. такой, для которого k = 0. Это означает, что заемщики немедленно изымают свои кредиты полностью, а те, кому они перечисляют платежи, не являются клиентами того же банка, что и заемщики. Если k = 0, то, подставляя это значение в формулу [3], получаем:
[5] x = d(1 – c).
И, поскольку в нашем примере d = 1 000 000 д.е., а c = 0,1, то:
x = 1 000 000(1–0,1) = 900 000 д.е.
Это в точности равно сумме депозитов, или фидуциарных средств обращения, созданных из ничего, которая отражена в записях (11) и (18). Однако в последнем разделе мы видели, что на практике, когда k лишь немногим отличается от нуля, изолированный банк может создавать значительно больший объем фидуциарных средств обращения. (Если k = 0,2, он может создать на 22 % больше, т. е. 1 097 560 д.е. вместо 900 000 д.е. в первом примере.) Это будет верно независимо от того, использует банк континентальную или англосаксонскую бухгалтерскую систему, и в изолированном банке созданная сумма может даже превышать объем начального депозита.
Вот почему банки столь жестко конкурируют, чтобы привлечь как можно больше депозитов и клиентов. Банкиры пытаются получить на депозиты столько денег, сколько это возможно, потому что способны к расширению кредита в объеме даже большем, чем суммы размещенных у них депозитов. Таким образом, чем больше объем [депозитов], тем более банк будет способен расширять соответствующий кредит. Банкиры стараются привлечь как можно больше клиентов, потому что чем больше у них клиентов, тем выше будет k, а чем выше k, тем больше их возможность расширять займы и генерировать депозиты. Но самое важное то, что банкиры технически неспособны различить, ведет ли реализуемая ими политика роста к расширению их индивидуальной сферы действий за счет других банков, или же в конечном итоге имеет результатом общую эскалацию кредитной экспансии, охватывающую всю банковскую систему, или и то и другое одновременно. Банки расширяют кредит и депозиты самостоятельно, но, кроме того, принимают участие в действиях, которые порождают еще более масштабную кредитно-депозитную экспансию в банковской системе в целом. Более того, в этом процессе банки прилагают максимум усилий, чтобы играть все более и более значительную роль по сравнению с другими банками, что постоянно дает новые стимулы для кредитной экспансии на уровне отдельных банков и в банковской системе в целом. В любом случае k представляет собой ключевой фактор, определяющий уровень доходов банка. Конкуренция между банками удерживает k на уровне, значительно меньшем единицы, но каждый банк борется за непрерывное повышение значения своего коэффициента k. Для этого банки используют собственные возможности (географическое расширение, способность вытеснять или поглощать конкурентов, развитие конкурентных преимуществ)[275]. Хотя для изолированного банка коэффициент k, равный единице, невозможен (за исключением случаев банка-монополиста), значение k, как правило, существенно выше нуля, и почти при любых обстоятельствах банки прилагают огромные усилия для его увеличения. Среди прочего, это объясняет постоянное давление к слиянию с другими банками.
Прочитали книгу? Предлагаем вам поделится своим впечатлением! Ваш отзыв будет полезен читателям, которые еще только собираются познакомиться с произведением.
Оставить комментарий
-
Вера Попова27 октябрь 01:40
Любовь у всех своя-разная,но всегда это слово ассоциируется с радостью,нежностью и счастьем!!! Всем добра!Автору СПАСИБО за добрую историю!
Любовь приходит в сентябре - Ника Крылатая
-
Вера Попова10 октябрь 15:04
Захватывает,понравилось, позитивно, рекомендую!Спасибо автору за хорошую историю!
Подарочек - Салма Кальк
-
Лиза04 октябрь 09:48
Роман просто супер давайте продолжение пожалуйста прочитаю обязательно Плакала я только когда Полина искала собаку Димы барса ♥️ Пожалуйста умаляю давайте еще !))
По осколкам твоего сердца - Анна Джейн
-
yokoo18 сентябрь 09:09
это прекрасный дарк роман!^^ очень нравится
#НенавистьЛюбовь. Книга вторая - Анна Джейн


