Читать книгу - "Эмоции и чувства - Евгений Ильин"
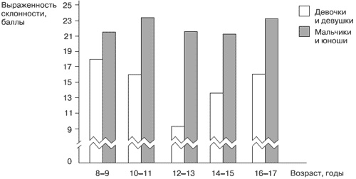
Различия в склонности к переживанию базовых эмоций. Л. В. Куликовым выявлены значимые половые различия в самооценке печали, тревоги и вины. Сравнение склонности к переживанию базовых эмоций у школьников и школьниц разного возраста, проведенное М. С. Пономаревой, показало, что у девочек и девушек во всех возрастных группах склонность к страху выражена значительно больше, чем у мальчиков и юношей (рис. 16.6).

Рис. 16.4. Половые различия по личностной тревожности.

Рис. 16.5. Половые различия по нейротизму.
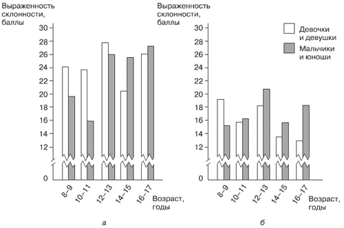
Интересная возрастная динамика выявлена М. С. Пономаревой (Е. П. Ильин, М. С. Пономарева, 2001) в отношении склонности к переживанию гнева и печали. Чем младше школьники, тем склонность к переживанию этих эмоций больше выражена у лиц мужского пола, и чем старше школьники, тем больше выражены эти склонности у лиц женского пола (рис. 16.7).
Склонность к радости не обнаружила четкой возрастной динамики: в 8–9, 12—13 и 16—17 лет она выражена у мальчиков и девочек одинаково, а в возрасте 10—11 и 14—15 лет она выражена больше у девочек.
Как показано К. Н. Сухановой (2001), мужчины чаще сдерживают проявление эмоций, чем женщины (60% против 40%) и больше нуждаются в эмоциональном участии (100 и 60%). При этом представители сильного пола чаще игнорируют эмоциональные проблемы (80% против 30%). Женщины чаще сохраняют эмоциональную безучастность в отношениях (60% против 40%). Автор приходит к выводу, что у мужчин эмоциональные проблемы маскируются или даже отрицаются на уровне самооценки.

Рис. 16.6. Склонность к переживанию страха у лиц мужского и женского пола.

Рис. 16.7. Склонность к переживанию гнева и печали у лиц мужского и женского пола: а – склонность к гневу, б – склонность к печали.
Различия в эмоциональных отношениях к другим. Среди дружащих девочек отношения более доверительные, чем среди мальчиков (Rubin, 1983). У девочек близкие дружеские отношения с противоположным полом завязываются раньше, чем у юношей (Sharabany, Gershony, Hoffman, 1981).
Различия в свойствах эмоциональности. В литературе отмечается большая эмоциональная чувствительность и эмоциональная нестабильность женщин. Изучение этого вопроса В. Г. Пинигиным на школьниках и студентах с помощью оценок собственных жизненных проявлений выявило, что лица женского пола явно превосходят лиц мужского пола во всех возрастных группах по эмоциональной возбудимости (это соответствует приведенным ниже данным П. А. Ковалева о большей вспыльчивости лиц женского пола), в меньшей степени – по интенсивности, еще в меньшей степени – по длительности сохранения эмоций и эмоциональной устойчивости (рис. 16.8).

Рис. 16.8. Различия в свойствах эмоциональности у лиц женского и мужского пола.
Различия в эмоциональных свойствах и типах личности. Лица женского пола уделяют значительное большее внимание эмоциональным аспектам межличностных отношений и своим переживаниям. Считается, что они более эмпатичны. Однако авторы, изучавшие этот вопрос на детях 10—12 лет (Eisenberg, 1989; Eisenberg et al., 1987), полагают, что это происходит потому, что девочки морально созревают раньше, чем мальчики.
По данным П. А. Ковалева (1996), у лиц женского пола больше выражена вспыльчивость (эмоциональная возбудимость).
В отношении обидчивости существенных половых различий, по данным Ковалева, не выявлено, однако по данным С. В. Афиногеновой (2007), обидчивость больше выражена у лиц женского пола.
По данным А. А. Плоткина, как у мужчин, так и у женщин распространен эмоциональный тип, когда доминирует радость при равенстве страха и гнева. Кроме того, у мужчин наиболее распространенной является структура, в которой гнев и радость преобладают над страхом, а у женщин наиболее распространенной является структура эмоциональности, в которой доминируют радость и страх. Эти данные согласуются с имеющимися в литературе данными о большей выраженности у мужчин прямой физической и вербальной агрессии (Ковалев, 1996, и др.). Одинаковую предрасположенность женщин к гневу и страху можно объяснить с позиций К. Изарда (1980), полагающего, что склонность к страху может уравновешивать предрасположенность к гневу, удерживая индивидов от агрессивных поступков и конфликтов или переводя их в более «мягкие» формы (например, в косвенную вербальную агрессию, которая, по данным П. А. Ковалева, преобладает именно у женщин). С другой стороны, гнев может служить защитой от страха, давать психологическую компенсацию и разрядку, повышая чувство уверенности в себе (Шибутани, 1969; Эберлейн, 1981).
В зарубежных исследованиях эмоциональные особенности женщин связывают с их социальным положением в обществе и рассматривают в двух плоскостях: как вину семейных работающих женщин и как страх женщин перед успехом.
Вина у семейных работающих женщин стала объектом пристального внимания западных психологов. Она является следствием внутриличностного конфликта, когда женщина стремится быть одновременно в двух ролях: хранительницы семейного очага и хорошего профессионала. Эти две роли предъявляют к женщинам противоречивые требования, часто им просто не хватает физических и психических ресурсов, чтобы хорошо исполнять и ту, и другую роль. Понимая это, женщина начинает переживать вину перед детьми, мужем, перед начальством на работе (Виткин, 1996; Berg, 1986; Barling, 1990), что может вылиться в психосоматические симптомы.
Чувство вины перед детьми (очевидно, особенно остро переживаемое, когда женщина после рождения ребенка возвращается на работу и как бы покидает его) продуцирует определенные паттерны поведения с ними, в частности – сверхкомпенсационное поведение, которое Л. Хоффманом было названо «подавляющей любовью». Сверхкомпенсация принимает разные формы. В одном случае мать, придя вечером с работы, пытается компенсировать ребенку весь день своего отсутствия плотным общением и заботой, выполнением всех его желаний, не давая ему возможности расслабиться. Вечером большинство детей после такой материнской опеки становятся психически «издерганными».
Другие формы – покупка ребенку большого количества игрушек, особенно если мать была в командировке или задержалась с работы. Б. Берг называет такое поведение «поведением для себя», так как игрушки нужны не столько ребенку, сколько матери, пытающейся загладить таким путем свою вину. Все это приводит в конечном итоге к неправильному воспитанию ребенка, к развитию у него несамостоятельности, тревожности и другим личностным искажениям.
Прочитали книгу? Предлагаем вам поделится своим впечатлением! Ваш отзыв будет полезен читателям, которые еще только собираются познакомиться с произведением.
Оставить комментарий
- Аида06 май 10:49Дикарь королевских кровей. Книга 2. Леди-фаворитка - Анна Сергеевна ГавриловаЧитала легко, местами хоть занудно. Но, это лучше, чем 70% подобной тематики произведений.
- вера02 май 00:32Сокровище в пелёнках - Ирина Агуловатекст не четкий трудно читать наверное надоест сброшу книгу может посоветуете как улучшить
- Калинин максим30 апрель 10:11Время Темных охотников - Евгений ГаглоевНедавно прочитал книгу «Время тёмных охотников» и хочу поделиться своими впечатлениями. Автор создал увлекательный мир, полный тайн и загадок. Сюжет затягивает с первых
- Vera24 апрель 16:25Мемуары голодной попаданки - Наталья ВладимироваБольшое спасибо. Прочитала на одном дыхании. Очень положительная героиня. Желаю автору здоровья и новых увлекательный книг.







