Читать книгу - "Эмоции и чувства - Евгений Ильин"
Чаще всего детская дружба прерывается: друзья могут перейти в другую школу или уехать из города. Тогда оба испытывают чувство настоящей потери, чувство горя, пока не находят новых друзей. Иногда дружба прерывается из-за появления новых интересов, вследствие чего дети обращаются к новым партнерам, могущим удовлетворить их потребности (Rubin, 1980).
Друзья есть не у всех детей. В таком случае возникает опасность столкнуться с проблемами социальной адаптации таких детей. Некоторые исследования говорят о том, что наличие даже единственного близкого друга помогает ребенку преодолеть негативное влияние одиночества и неприязни со стороны других детей.
Эмоции подростков в значительной мере связаны с общением. Поэтому личностно-значимые отношения к другим людям определяют как содержание, так и характер эмоциональных реакций. При этом, как отмечает В. Н. Куницына (1973), недостаток опыта переживания эмоций в новой ведущей деятельности (учебе) и опыта общения приводят к тому, что подросток в основание своего эмоционального эталона кладет не общее, повторяющееся в разных людях, а индивидуальные особенности конкретного подразумеваемого человека. Сохраняется у подростков и отрицательное отношение к себе. В результате для школьников этого возраста характерна предрасположенность к отрицательным эмоциям и рассогласованность в мотивационной сфере.
У подростков по сравнению со школьниками младших классов улучшается вербальное обозначение базовых эмоций страха и радости. Длина словаря синонимов, обозначающих эти эмоции, увеличивается до 6–7 слов (А. Г. Закаблук). Начиная с подросткового возраста, знания об эмоциях становятся все более опосредованными отношениями к этим эмоциям (К. Изард, В. Н. Куницына, В. А. Лабунская).
Для эмоциональной cфepы подростков характерны:
1) очень большая эмоциональная возбудимость, поэтому подростки отличаются вспыльчивостью, бурным проявлением своих чувств, страстностью: они горячо берутся за интересное дело, страстно отстаивают свои взгляды, готовы «взорваться» на малейшую несправедливость к себе и своим товарищам;
2) большая устойчивость эмоциональных переживаний по сравнению с младшими школьниками; в частности, подростки долго не забывают обиды;
3) повышенная готовность к ожиданию страха, проявляющая в тревожности (В. Н. Кисловская (1972) установила, что самая высокая тревожность наблюдается в подростковом возрасте); повышение тревожности в старшем подростковом возрасте связано с появлением интимно-личностных отношений с человеком, вызывающих различные эмоции, в том числе в связи со страхом показаться смешным;
4) противоречивость чувств: часто подростки с жаром защищают своего товарища, хотя понимают, что тот достоин осуждения; обладая высокоразвитым чувством собственного достоинства, они могут заплакать от обиды, хотя и понимают, что плакать стыдно;
5) возникновение переживания не только по поводу оценки подростков другими, но и по поводу самооценки, которая появляется у них в результате роста их самосознания;
6) сильно развитое чувство принадлежности к группе, поэтому они острее и болезненнее переживают неодобрение товарищей, чем неодобрение взрослых или учителя; часто появляется страх быть отверженным группой;
7) предъявление высоких требований к дружбе, в основе которой лежит не совместная игра, как у младших школьников, а общность интересов, нравственных чувств; дружба у подростков более избирательна и интимна, более длительна; под влиянием дружбы изменяются и подростки, правда, не всегда в положительную сторону; распространена групповая дружба;
8) проявление гражданского чувства патриотизма.
Основной содержательной характеристикой эмоций и чувств в юношеском возрасте является будущее. Доминируют эмоции, связанные с ожиданием будущего, «которое должно принести счастье» (Якобсон, 1966).
Эмоциональная сфера старшеклассников характеризуется:
1) многообразием переживаемых чувств, особенно нравственных и общественно-политических;
2) большей, чем у подростков, устойчивостью эмоций и чувств;
3) способностью к сопереживанию, т. е. способностью откликаться на чувства других, близких им людей;
4) развитием эстетических чувств, способностью замечать прекрасное в окружающей действительности. Развивается эстетическая восприимчивость к мягким, нежным, спокойным лирическим объектам. Это, в свою очередь, помогает старшеклассникам освободиться от вульгарных привычек, непривлекательных манер, способствует развитию чуткости, отзывчивости, мягкости, сдержанности. Эстетические чувства у старшеклассников более сложны, чем у подростков. Hо, с другой стороны, они могут приводить к «оригинальничанию», незрелым и неправильным эстетическим представлениям;
5) большей устойчивостью и глубиной дружбы; друзья выбираются, исходя из общих интересов и занятий, равенства отношений, преданности и обязательств; дружба в основном прерывается из-за предательства (Hаrtuр, 1989);
6) появлением чувства любви; юношеская любовь, как правило, чиста, непосредственна, богата разнообразными переживаниями, носит оттенок нежности, мечтательности, лиричности и искренности.
В большинстве случаев возникающее чувство любви вызывает у юношей и девушек стремление преодолеть свои недостатки, выработать положительные качества личности, развиться физически, чтобы привлечь внимание объекта своего чувства; любовь воспитывает благородные чувства и стремления.
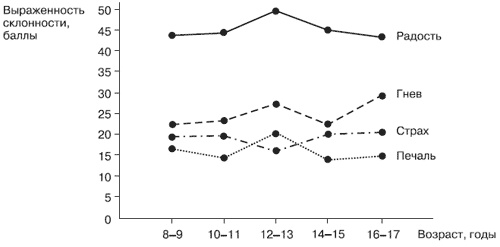
Возрастная динамика склонности к проявлению базовых эмоций. Данные, полученные М. С. Пономаревой (Е. П. Ильин, М. С. Пономарева, 2001) при опросе школьников, показывают, что во всех возрастных группах склонность к проявлению радости явно преобладает над склонностью к проявлению гнева, страха и печали (рис. 16.2). Склонность к гневу выражена несколько больше, чем склонность к страху и печали, а склонность к печали выражена меньше всего.

Рис. 16.2. Возрастная динамика выраженности склонности к проявлению базовых эмоций.
Динамика изменения с возрастом эмоций радости, гнева и печали практически одинаковая, а именно, наблюдается более выраженное их проявление в 12—13 лет, т. е. в период полового созревания. Противоположная тенденция в этот же период наблюдается в отношении страха: его выраженность уменьшается. Это совпадает с данными Н. Д. Скрябина (1974 б), выявившего, что наибольшее число смелых школьников приходится именно на период полового созревания.
Возрастная динамика эмоциональных свойств личности. П. А. Ковалев (1996) изучил изменение с возрастом (с 5-го по 11-й класс) самооценки трех эмоциональных свойств личности: вспыльчивости (эмоциональной возбудимости), обидчивости и мстительности. Почти во всех возрастных группах выше всего школьники оценили у себя вспыльчивость, затем обидчивость и ниже всего – мстительность (рис. 16.3).
Прочитали книгу? Предлагаем вам поделится своим впечатлением! Ваш отзыв будет полезен читателям, которые еще только собираются познакомиться с произведением.
Оставить комментарий
- Аида06 май 10:49Дикарь королевских кровей. Книга 2. Леди-фаворитка - Анна Сергеевна ГавриловаЧитала легко, местами хоть занудно. Но, это лучше, чем 70% подобной тематики произведений.
- вера02 май 00:32Сокровище в пелёнках - Ирина Агуловатекст не четкий трудно читать наверное надоест сброшу книгу может посоветуете как улучшить
- Калинин максим30 апрель 10:11Время Темных охотников - Евгений ГаглоевНедавно прочитал книгу «Время тёмных охотников» и хочу поделиться своими впечатлениями. Автор создал увлекательный мир, полный тайн и загадок. Сюжет затягивает с первых
- Vera24 апрель 16:25Мемуары голодной попаданки - Наталья ВладимироваБольшое спасибо. Прочитала на одном дыхании. Очень положительная героиня. Желаю автору здоровья и новых увлекательный книг.







