Читать книгу - "Эмоции и чувства - Евгений Ильин"
Определенный уровень тревожности – естественная и обязательная особенность активной деятельности личности. У каждого человека существует свой оптимальный, или желательный, уровень тревожности – это так называемая полезная тревожность.
Высокая тревожность проявляется в тенденции оценивать явления, предметы, события, объективно неопасные, как угрожающие, с последующим переживанием состояния тревоги. Тревожные люди боятся трудностей, чувствуют себя неуверенно в группе.
Некоторые авторы говорят не об общей тревожности, а о частной, специфической, связанной с постоянным реагированием состоянием тревоги только на определенные ситуации (Endler et al., 1962; Martens, 1977, и др.). Например, Д. Саразон (Sarason, 1972) ввел понятие «тестовой» тревожности, отражающей склонность к этому состоянию в ситуациях экзамена, тестирования. В других исследованиях говорится о частной личностной тревожности, связанной с публичным выступлением, общением, обучением плаванию, участием в соревнованиях, конкурсах и т. п.
Нейрофизиологические механизмы высокой тревожности до конца еще не выяснены. Предполагается, что тревожность связана с активностью лобных долей, так как лейкотомия (перерезка путей, связывающих лобные отделы полушарий с подкорковыми образованиями) снижает уровень хронической тревожности. Ч. Спилбергер подчеркивает роль субъективно-эмоциональных и вегетативных явлений.
Психологические и психофизиологические особенности высокотревожных.
О. Г. Мельниченко (1979) показала, что для высокотревожных характерны эмоциональная неуравновешенность (фактор С по Р. Кэттеллу), робость (фактор Н), неуверенность в себе (фактор О) и взвинченность, напряженность (фрустрированность – фактор Q4). У них более высокий и менее стабильный уровень притязаний. Со стороны биохимических показателей их особенностью является более высокий фоновый уровень лактата в крови.
По данным Р. Л. Астахова (2000), тревожность имеет связь с показателями шизотимии, покорности, озабоченности, сентиментальности, негативизма, подозрительности, страха.
Все эти личностные особенности имеют природную основу, в качестве которой выступают типологические особенности проявления свойств нервной системы. В свое время В. Д. Небылицын (1966) предполагал, что лица со слабой нервной системой более склонны к тревожности, чем лица с сильной нервной системой. Это нашло подтверждение в ряде исследований. Выявлено (Белоус, 1970; Ильин, 1976; Катыгин и др., 1979), что высокотревожные лица чаще имеют слабую нервную систему (табл. 14.5), следовательно, и высокую активацию в покое, которая связана, скорее всего, с возбуждающим влиянием на кору головного мозга ретикулярной формации. У высокотревожных найдена и большая, чем у низкотревожных, величина КГР в покое (Катыгин и др., 1979).
Таблица 14.5. Связь тревожности со свойством силы нервной системы (Е. П. Ильин, 1976).

Если в моем исследовании использовался опросник Г. Айзенка, то в работе Ю. А. Катыгина и др. (1979) использовался опросник Д. Тейлор (1953). У высокотревожных слабая нервная система была в 86% случаев против 64% у низкотревожных. Сильная нервная система была обнаружена в 14 и 36% соответственно. Кроме того, в этом исследовании было установлено, что высокотревожным чаще присущи инертность нервных процессов и преобладание торможения по «внешнему» балансу. Г. Б. Суворов (1981) подтвердил своим исследованием спортсменов-мужчин, что высокая тревожность связана с инертностью нервных процессов.
По моим данным, у лиц с высокой тревожностью (определявшейся по опроснику Ч. Спилбергера) более выражен мотив достижения (рис. 14.5).

Рис. 14.5. Личностная тревожность у лиц с разным уровнем мотива достижения.
Предприняты попытки выявить роль наследуемости тревожности как черты личности. Р. Кеттелл и И. Шейер (Cattell, Scheier, 1961) показали, что влияние среды проявляется гораздо сильнее и что лишь один фактор «Я», входящий в тревожность, существенно зависит от наследственности.
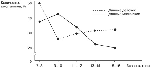
Возрастно-половые особенности тревожности. В исследовании Н. В. Бирюковой и др. (1976) было выявлено, что больше всего школьников с высоким нейротизмом (16 баллов и выше по опроснику Г. Айзенка) имеется у девочек в 7– 8-летнем возрасте, а у мальчиков – в 9–10-летнем возрасте. Затем число таких лиц уменьшается (рис. 14.6).
Наличие большого числа учащихся с высоким нейротизмом в младших классах, скорее всего, объясняется попаданием детей в новую непривычную обстановку, а последующее снижение числа таких учащихся – адаптацией к школьному обучению, которая, судя по полученным данным, быстрее происходит у девочек.
Эффективность общения у высокотревожных. А. В. Никитина (2000) изучала, какие проблемы в общении со сверстниками испытывают дети в возрасте 11 лет с высокой и низкой тревожностью. Оказалось, что первые дали наиболее высокие баллы по утверждениям: «Я не могу довериться своим друзьям полностью», «Бывает, что я не успеваю собраться с мыслями, мне трудно сформулировать мысль», «Меня не понимают», «Меня не понимает мой друг». Таким образом, высокая тревожность действительно создает проблемы в общении. По данным В. Р. Кисляковской, даже при эмоциональном благополучии тревожность ожиданий в общении имеет место у 45% подростков.
Эффективность деятельности тревожных. В отношении роли тревожности в успешности обучения разными исследователями получены неоднозначные результаты. Показано (Cattell, Scheier, 1961), что связь тревожности с успешностью умственной деятельности зависит от многих факторов: мотивации, трудности материала, возраста и других факторов. В целом имеется отрицательная корреляция между тревожностью и успешностью обучения, однако подчеркивается, что незначительный уровень тревожности может способствовать обучению, увеличивая продолжительность самостоятельной работы с учебным материалом. Н. А. Курдюковой (1997) выявлено, что у учащихся 10–11-х классов с высокой тревожностью успеваемость хуже, чем у учащихся с низкой тревожностью. По данным Ч. Спилбергера, студенты с высокой тревожностью в четыре раза чаще отчисляются из колледжа.

Рис. 14.6. Возрастные изменения числа школьников с высоким нейротизмом.
В исследовании Е. А. Сидорова (1983) было выявлено, что чем ниже была активность школьников на уроках физкультуры, тем чаще встречалась высокая тревожность (рис. 14.7).

Рис. 14.7. Связь двигательной активности с тревожностью: а – высокая тревожность; б – низкая тревожность.
Р. Кэттелл и И. Шрейер показали, что высокий уровень тревожности снижает успешность профессиональной деятельности. Повышенная личностная тревожность, по данным Ю. А. Цагарелли (1979), отрицательно влияет на успешность концертно-исполнительской деятельности музыкантов. Спортивные психологи (Миленин, 1970) установили, что высокотревожные спортсмены на ответственных соревнованиях, как правило, выступают плохо. Поскольку тревожность и страх тесно связаны, в некоторых видах спорта (прыжки в воду, парашютный спорт) люди с высокой личностной тревожностью практически не встречаются, причем это касается не только спортсменов высокого класса, но и новичков. Кроме того, по данным Н. П. Фетискина (1981), лица с высокой тревожностью менее устойчивы к монотонной работе, чем лица с низкой тревожностью.
Прочитали книгу? Предлагаем вам поделится своим впечатлением! Ваш отзыв будет полезен читателям, которые еще только собираются познакомиться с произведением.
Оставить комментарий
- Аида06 май 10:49Дикарь королевских кровей. Книга 2. Леди-фаворитка - Анна Сергеевна ГавриловаЧитала легко, местами хоть занудно. Но, это лучше, чем 70% подобной тематики произведений.
- вера02 май 00:32Сокровище в пелёнках - Ирина Агуловатекст не четкий трудно читать наверное надоест сброшу книгу может посоветуете как улучшить
- Калинин максим30 апрель 10:11Время Темных охотников - Евгений ГаглоевНедавно прочитал книгу «Время тёмных охотников» и хочу поделиться своими впечатлениями. Автор создал увлекательный мир, полный тайн и загадок. Сюжет затягивает с первых
- Vera24 апрель 16:25Мемуары голодной попаданки - Наталья ВладимироваБольшое спасибо. Прочитала на одном дыхании. Очень положительная героиня. Желаю автору здоровья и новых увлекательный книг.







