Читать книгу - "Эмоции и чувства - Евгений Ильин"
Возрастные особенности застенчивости. Различают возрастную застенчивость, которая возникает в период активного усвоения ребенком социального опыта. Застенчивость особенно резко проявляется в юности. П. Пилконис и Ф. Зимбардо среди учащихся 4–6-х классов школ и колледжей выявили 42% застенчивых, причем различий между мальчиками и девочками по частоте ее проявления не было. Но уже в 7–8-х классах их количество возросло до 54%, в основном за счет девочек.
Детская застенчивость – преходящее явление, исчезающее вместе с появлением опыта контактов, что было доказано в ряде психолого-педагогических экспериментов.
Т. М. Сорокина (1977) в течение двух месяцев (50 непродолжительных встреч с интервалами в один-два дня) учила робких, застенчивых детей второго года жизни «деловому общению» в присутствии посторонних взрослых. На первом этапе она вступала с детьми в эмоциональный контакт – брала их на руки, ласкала, улыбалась, а когда ребенок смелел – прижимала к себе, сажала на колени. На втором этапе она, держа ребенка у себя на коленях, показывала ему заводные игрушки и добивалась того, что он начинал сопереживать ей, а потом и сам активно делился с нею своими переживаниями от ярких и красочных впечатлений. В конце концов ребенок преодолевал свою робость и научался обращаться к взрослому уже главным образом по «деловым» вопросам и не ограничивался тем, что льнул к нему. Менялись в лучшую сторону и эмоциональные характеристики его поведения: чаще появлялись положительные эмоции и реже – отрицательные, практически исчезали конфликтные эмоции.
В то же время данные Л. Н. Галигузовой (2000) дают основание говорить о сензитивном периоде застенчивости. В лонгитюдном исследовании ею выявлено, что застенчивость слабее всего проявлялась у 4-летних детей, резко возрастала на 5-м году жизни, несколько снижалась к 6 и значительно сокращалась к 7 годам. Существенно и то, что после 4 лет расширяется сфера проявления застенчивости: если в 4 года ребенок проявлял застенчивость только в одной форме общения, то после 4 лет он начинал вести себя застенчиво и при других формах.
Галигузовой выявлены четыре основные причины застенчивого поведения дошкольников. Первая и наиболее распространенная – отношение ребенка к оценке взрослым его деятельности. У застенчивых детей имеется обостренное ожидание и восприятие оценки. Интересен тот факт, что с возрастом формируется парадоксальное отношение к похвале взрослого: его одобрение вызывает не только радость, но и смущение. Вторая причина – собственное отношение ребенка к своим конкретным действиям независимо от оценок взрослого. Ребенок ведет себя застенчиво, если ожидает неуспех в деятельности. Он робко смотрит на взрослого, не решаясь попросить помощи. Смущение, сочетающееся с гордостью, может появиться и при успешном решении задачи. Третья причина – общая самооценка ребенка, которая отражается в его неуверенности в положительном отношении к нему взрослого, в одновременном желании и боязни привлечь к себе его внимание, выделиться из группы сверстников, оказаться в центре внимания. Четвертая причина отражает потребность застенчивых детей оградить внутреннее пространство своей личности от постороннего вмешательства при наличии в то же время желания общаться со взрослым.
Особую специфику приобретает застенчивость у 15–17-летних юношей и девушек в период общения их друг с другом. Б. Заззо (Zazzo, 1966) выявила, что в ответ на вопрос «В общении с кем вы чувствуете себя наиболее уверенно?» указали на сверстников противоположного пола только 8% опрошенных (для сравнения: ответ, что чувствуют себя наиболее уверенно со сверстниками своего пола дали 30% опрошенных). Интересно, что при общении с чужими взрослыми уровень застенчивости у них почти такой же, как и при общении со сверстниками противоположного пола (чувствуют себя уверенно только 10% опрошенных).
Беззастенчивые – это чрезмерно свободные в общении, общительные до навязчивости, бесцеремонные люди. Их еще называют бесстыдными. Среди студентов и школьников, по данным В. Н. Куницыной, их 13%. Это экстравертированные, эмоционально возбудимые, смелые, склонные к риску и авантюризму люди. Они высоко конфликтны, авторитарны, обладают низким самоконтролем. Беззастенчивость чаще встречается среди мужчин, чем среди женщин. Характерно, что среди представителей ряда обследованных Куницыной профессий (учителя, бухгалтеры, экономисты, директора предприятий, таксисты) беззастенчивые оказались только среди таксистов.
Куницына выделяет пять типов (групп) беззастенчивых. Первая группа – высокотемпераментные люди, импульсивные, у них отсутствует контроль над словами. Вторая группа – плохо воспитанные люди, а также ориентированные на самоутверждение. Они могут прервать разговор, не извинившись, у них нет чувства меры и такта, экстравагантны. Третья группа – возбудимые психопаты, истероидные личности, эгоцентричные, бесцеремонные и навязчивые до хамства. Четвертая группа – люди морально ущербные, карьеристы, беззастенчивые в самом худшем смысле слова. Самовлюбленные и наглые, хотя внешне вежливые. Подхалимы по отношению к старшим и грубы с младшими. Пятая группа – неадекватно адаптированные застенчивые; это те, кто, пытаясь преодолеть свою застенчивость, впадает в другую крайность.
Обидчивость как эмоциональное свойство личности определяет легкость возникновения эмоции обиды. У гордых, тщеславных, самолюбивых людей обострено чувство собственного достоинства, вследствие чего они расценивают как обидные самые обычные слова в их адрес, подозревают людей в том, что их намеренно обижают, хотя те даже и не думали об этом. У отдельного человека могут иметься особо чувствительные «пункты» обидчивости, с которыми он связывает наибольшую ущемленность чувства собственного достоинства и при задевании которых может дать бурную аффективную реакцию.
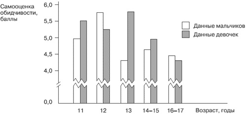
По данным П. А. Ковалева, изучавшего самооценку обидчивости у школьников 5–11-х классов, она наибольшая в период полового созревания, и в трех возрастных группах из пяти выше у девочек, чем у мальчиков (рис. 14.2). Обидчивость, по данным Ковалева, связана со склонностью к агрессивному поведению, причем эта связь более тесная у девочек по сравнению с мальчиками (табл. 14.3).

Рис. 14.2. Возрастная динамика обидчивости.
Таблица 14.3. Коэффициенты корреляции обидчивости со склонностью к агрессивному поведению.

Мстительность – это склонность человека к мести, т. е. к агрессии в отплату за причиненное зло. Изучение мстительности П. А. Ковалевым у школьников 5– 11-х классов показало, что, во-первых, во всех возрастах мстительность у мальчиков выражена больше, чем у девочек, и во-вторых, наибольшая мстительность у мальчиков наблюдается в возрасте 12 и 14—15 лет (рис. 14.3). У девочек существенной возрастной динамики мстительности не выявлено. Между мстительностью и склонностью к агрессивному поведению, по данным Ковалева, в большинстве возрастных групп выявлена связь, причем более тесная – у девочек (табл. 14.4).
Прочитали книгу? Предлагаем вам поделится своим впечатлением! Ваш отзыв будет полезен читателям, которые еще только собираются познакомиться с произведением.
Оставить комментарий
- Аида06 май 10:49Дикарь королевских кровей. Книга 2. Леди-фаворитка - Анна Сергеевна ГавриловаЧитала легко, местами хоть занудно. Но, это лучше, чем 70% подобной тематики произведений.
- вера02 май 00:32Сокровище в пелёнках - Ирина Агуловатекст не четкий трудно читать наверное надоест сброшу книгу может посоветуете как улучшить
- Калинин максим30 апрель 10:11Время Темных охотников - Евгений ГаглоевНедавно прочитал книгу «Время тёмных охотников» и хочу поделиться своими впечатлениями. Автор создал увлекательный мир, полный тайн и загадок. Сюжет затягивает с первых
- Vera24 апрель 16:25Мемуары голодной попаданки - Наталья ВладимироваБольшое спасибо. Прочитала на одном дыхании. Очень положительная героиня. Желаю автору здоровья и новых увлекательный книг.







