Читать книгу - "Деньги, банковский кредит и экономические циклы - Хесус Уэрта де Сото"
Аннотация к книге "Деньги, банковский кредит и экономические циклы - Хесус Уэрта де Сото", которую можно читать онлайн бесплатно без регистрации
(банкнот, произведенных из ничего).
Если предположить, что все банки выпускают банкноты одновременно и получают одну и ту же долю новых начальных денежных единиц, то для поддержания своих резервов наличности в неприкосновенности отдельный банк сможет произвести банкнот на сумму

Это та же формула, которую мы применяли для депозитов. Будут сделаны следующие проводки:

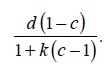
Мы могли бы воспроизвести все бухгалтерские записи для более общего случая, когда k > 0 (в нашем предыдущем примере k = 0,2). Если c = 0,1, то для каждых 1 000 000 д.е., полученных банком, он сможет создать из ничего новых банкнот на сумму
[43]
То есть банк будет способен создать 1 097 560 д.е. в форме необеспеченных банкнот. Мы могли бы повторять один за другим результаты, полученные нами для банковских депозитов, из чего следует, что между выпуском необеспеченных банкнот и расширением из ничего банковского кредита, обеспеченного кредитами, созданными из ничего, нет разницы. Единственное существенное различие коренится в правовой природе этих процессов, так как, согласно всеобщим принципам права, выпуск необеспеченных банкнот подразумевает фальшивомонетничество и мошенничество, а договор денежного банковского депозита – всего лишь присвоение.
Тем не менее существуют некоторые различия в способах выполнения этих действий. Банкноты принимают форму обязательства на предъявителя, и каждая из них имеет определенный номинал, что позволяет передавать банкноты от одного человека к другому без необходимости для банка отражать это в своих бухгалтерских регистрах (снижая операционные издержки банка). В отличие от этого преимущество депозитов в том, что клиенты могут написать на чеке любую нужную им сумму без необходимости передавать число банкнот, соответствующее этой сумме. Неудобство же состоит в том, что банкир должен сопровождать проводимые сделки и записывать их в своих регистрах.
И все же, отвлекаясь от юридических и формальных различий, с экономической точки зрения две эти операции в сущности тождественны и вызывают одни и те же последствия. Однако ниже мы увидим, что в начале развития теории денег ученые признавали безнравственность только в отношении создания необеспеченных банкнот и причиняемый ими тяжкий ущерб. Изначально они не осознавали и не реагировали на тот факт, что расширенное создание кредитов, обеспеченных депозитами, созданными из ничего, имеет те же самые последствия. Это объясняет, почему Закон Пиля от 19 июня 1844 г., заложивший основы современных банковских систем, запретил эмиссию необеспеченных банкнот, но все же потерпел провал, не достигнув своих целей – кредитно-финансовой устойчивости и полной ясности и защиты прав собственности граждан в сфере банковского дела. Причиной неудачи стала неспособность законодателей осознать, что банковские депозиты с частичным резервированием имеют такую же природу и экономические последствия, что и необеспеченные банкноты. В итоге закон не запретил банковского дела с частичным резервированием и позволил продолжить вековую практику «эмиссии» необеспеченных (вторичных) депозитов. В действительности, вторичные депозиты предшествовали фидуциарной эмиссии банкнот, но по причине того, что природа депозитов оказалась более сложной для понимания, был запрещен лишь выпуск необеспеченных банкнот. Договор денежного банковского депозита с частичным резервированием сегодня все еще законен, даже при том что он имеет ту же самую экономическую природу и вызывает те же самые вредные последствия, что и эмиссия необеспеченных банкнот, запрещенная в 1844 г. Законом Пиля[291].
Прочитали книгу? Предлагаем вам поделится своим впечатлением! Ваш отзыв будет полезен читателям, которые еще только собираются познакомиться с произведением.
Оставить комментарий
-
Вера Попова27 октябрь 01:40
Любовь у всех своя-разная,но всегда это слово ассоциируется с радостью,нежностью и счастьем!!! Всем добра!Автору СПАСИБО за добрую историю!
Любовь приходит в сентябре - Ника Крылатая
-
Вера Попова10 октябрь 15:04
Захватывает,понравилось, позитивно, рекомендую!Спасибо автору за хорошую историю!
Подарочек - Салма Кальк
-
Лиза04 октябрь 09:48
Роман просто супер давайте продолжение пожалуйста прочитаю обязательно Плакала я только когда Полина искала собаку Димы барса ♥️ Пожалуйста умаляю давайте еще !))
По осколкам твоего сердца - Анна Джейн
-
yokoo18 сентябрь 09:09
это прекрасный дарк роман!^^ очень нравится
#НенавистьЛюбовь. Книга вторая - Анна Джейн


