Читать книгу - "Деньги, банковский кредит и экономические циклы - Хесус Уэрта де Сото"
Аннотация к книге "Деньги, банковский кредит и экономические циклы - Хесус Уэрта де Сото", которую можно читать онлайн бесплатно без регистрации

По этому балансу можно сделать вывод о том, что, когда банкноты приобретают природу денежных единиц, люди больше не возвращают их в банк, чтобы изъять деньги, переданные на хранение, так как банкноты свободно обращаются и сами считаются деньгами. В колонке пассивов числится лишь 1 000 000 выпущенных банкнот, так как десяти процентов достаточно, чтобы исполнять обычные запросы на их размен. Следовательно, этот баланс равносилен признанию в мошенничестве, совершаемом банком, когда он выпускает банкноты на сумму, превышающую сумму денег, принятых на хранение. Банкиры никогда не отражают в своих бухгалтерских регистрах выпуск необеспеченных банкнот, так как это полностью раскрыло бы совершаемое ими мошенничество. Своими обманными действиями они наносят ущерб третьим лицам, чьи деньги теряют ценность из-за увеличения предложения денег, не говоря уже об экономических кризисах и спадах, чье воздействие будет рассмотрено ниже. Тем не менее последний баланс гораздо честнее в том смысле, что он по крайней мере показывает маневр банкира и то, что выпуск необеспеченных банкнот представляет собой бездонный источник финансирования, позволяющий банкирам присваивать огромные богатства.
Читатель, разумеется, заметил, что записи с (54) по (56) идентичны тем, которые мы рассматривали, изучая депозиты. Действительно, природа необеспеченных банкнот тождественна природе вторичных депозитов, и те и другие оказывают одно и то же экономическое воздействие. Они фактически представляют одну и ту же операцию, и как результат – идентичность бухгалтерских записей.
Оба занятия (создание депозитов и эмиссия банкнот) генерируют значительные активы для банков, постепенно отнимающих это богатство у всех участников рынка посредством процесса, который рыночные агенты не могут ни понять, ни идентифицировать, – процесса, который ведет к малозаметному снижению покупательной способности денежных единиц, используемых в данном обществе. Кредитная экспансия осуществляется в форме создания новых депозитов или банкнот, а так как с субъективной точки зрения публики они считаются деньгами, то при нормальных условиях они никогда не будут изъяты. Таким способом банки присваивают огромные богатства, которые они с бухгалтерской точки зрения гарантируют депозитами или банкнотами, что позволяет маскировать тот факт, что экономически банки являются единственными бенефициарами, де-факто получающими всю выгоду от этих активов. Таким образом, они нашли неисчерпаемый источник финансирования, которого от них, по всей вероятности, и не потребуют вернуть, – «заем», который они никогда не должны возвращать (т. е. по сути дела «дар»). С экономической точки зрения, теми, кто извлекает выгоду из этих чрезвычайных обстоятельств, являются банкиры и другие связанные с ними экономические агенты. Они обладают огромными возможностями по созданию денег и постоянно используют их для наращивания своих активов, открытия новых офисов, найма новых работников и т. д. Кроме того, им удается действовать относительно скрытно от подавляющей части публики (в том числе экономистов), обеспечивая созданные ими кредиты записями по счетам обязательств (счету депозитов или счету банкнот), не отражающими их реального собственного капитала. Короче говоря, банкиры нашли свой «философский камень» (весьма похожий на тот, поисками которого занимались в Средние века), позволяющий им создавать новые денежные единицы из ничего и генерировать скрытое богатство, при этом обманывая и причиняя ущерб третьим сторонам, вовлеченным в этот процесс.
В бухгалтерских регистрах собственниками этого богатства формально признаются вкладчики, но на деле оно не принадлежит никому (однако, говоря экономически, оно принадлежит самим банкирам). Выше мы уже упоминали, что осознание этого факта является основой нашей аргументации в последней главе, где мы предлагаем план реформирования банковской системы. Богатство, постепенно накопленное банками, может и должно быть возвращено гражданам. Через процесс приватизации оно должно быть доступно для использования в целях огромной общественной значимости (например, для помощи в оплате национального долга или для перехода к частной системе социального страхования, основанной на инвестициях).
Теперь параллели между эмиссией необеспеченных банкнот и кредитной экспансией, обеспеченной вторичными депозитами, созданными из ничего, становятся очевидными. Действительно, все аргументы, предложенные на предыдущих страницах, сохраняют истинность для банкнот точно так же, как и для депозитов до востребования. Отметив это, рассмотрим вкратце несколько бухгалтерских проводок. К примеру, когда предоставляются кредиты, обеспеченные банкнотами:

В этом случае банк предоставляет кредиты из ничего, просто выпуская «фальшивые» банкноты и отдавая их заемщикам. В худшем случае, если эти заемщики возвращают банку банкноты для того, чтобы изъять из хранилищ единицы товарных денег, банковский баланс будет выглядеть так:

Если предположить, что заемщики платят эти деньги другим людям, которые в конце концов отнесут их в другой банк, – например, в банк В, который также выпускает необеспеченные банкноты, – то банк В, сделает следующие бухгалтерские записи:

Баланс банка В будет выглядеть следующим образом:

Так этот процесс продолжается и распространяется по всей системе. Если коэффициент резервирования c = 0,1, а k = 0, то система, как нам известно, может создать из ничего денежных единиц в форме банкнот, не обеспеченных деньгами (золотом или иным видом товарных денег), в объеме 9 000 000 д.е.:
[41]
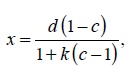
Тот же результат был бы получен для случая монополистического банка, пользующегося доверием и ведущего дела со всеми при коэффициенте резервирования c = 0,1 и k = 1. В этом случае кредитная экспансия x будет равна:
[42]
что при k = 1 превращается в равенство

Прочитали книгу? Предлагаем вам поделится своим впечатлением! Ваш отзыв будет полезен читателям, которые еще только собираются познакомиться с произведением.
Оставить комментарий
-
Вера Попова27 октябрь 01:40
Любовь у всех своя-разная,но всегда это слово ассоциируется с радостью,нежностью и счастьем!!! Всем добра!Автору СПАСИБО за добрую историю!
Любовь приходит в сентябре - Ника Крылатая
-
Вера Попова10 октябрь 15:04
Захватывает,понравилось, позитивно, рекомендую!Спасибо автору за хорошую историю!
Подарочек - Салма Кальк
-
Лиза04 октябрь 09:48
Роман просто супер давайте продолжение пожалуйста прочитаю обязательно Плакала я только когда Полина искала собаку Димы барса ♥️ Пожалуйста умаляю давайте еще !))
По осколкам твоего сердца - Анна Джейн
-
yokoo18 сентябрь 09:09
это прекрасный дарк роман!^^ очень нравится
#НенавистьЛюбовь. Книга вторая - Анна Джейн


