Читать книгу - "Чудо-мальчик - Ким Ён Су"
Аннотация к книге "Чудо-мальчик - Ким Ён Су", которую можно читать онлайн бесплатно без регистрации
С какого времени я полюбила его? Может быть, это случилось, когда я училась в шестом классе? А может быть, тогда, когда мы с матерью стояли перед универмагом «Хвасин» и ждали автобус, и он, узнав ее, поздоровался, а затем пошел вместе с друзьями дальше по дороге.
Он был старше меня на три года и тогда учился в девятом классе. Я до сих пор помню, как моя мать с беспокойством на лице спросила его: «Как поживает твой отец?» Я помню даже тот шелестящий звук, который раздавался каждый раз, когда двигалось пятно на рукаве ханбока, который в тот день надела мать. Когда он услышал вопрос, его лицо сразу потемнело, он ответил, что отец дома.
Расставшись с ним, мы ехали с матерью в автобусе, она сказала, что их семья стала бедствовать с тех пор, как его отец оставил издательство. Мне было любопытно, почему издательство уволило такого хорошего журналиста, но мать настаивала, что она не знает причины. На самом деле она знала, но предпочла промолчать. Лишь позже я выяснила, что его отца уволили за то, что он выступал за предоставление СМИ свободы слова.
В тот день я услышала от матери, что, возможно, именно поэтому он решил участвовать в «Студенческой викторине», которая предлагала участникам шанс получить стипендию. Говорят, что его отец везде ходил, с гордостью повторяя: «Вы можете представить, насколько у меня умный сын», хотя речь шла всего лишь о решении выступить на TB-викторине, чтобы заработать денег на оплату обучения. Без этой суммы он не мог посещать занятия.
О том, что он обладал феноменальной памятью, я узнала намного позже. Оказалось, он запоминал документ, словно копировальная машина, не ошибаясь даже в запятых; словно записывающее устройство, он мог в точности повторить беседу нескольких человек; словно видеомагнитофон, был способен детально воспроизвести все, что видел за короткое время.
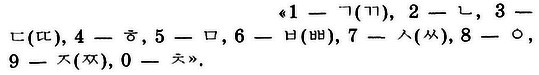
Я изучила, как в его голове укладывалась сложная информация. Сначала он разделял цифры по цветам, например, 1 — черный цвет, 2 — желтый, 3 — коричневый, 4 — белый. Конечно, отвратительно, что цифра 3 обозначалась цветом дерьма, но загвоздка была в особенностях корейского алфавита: только в цифре 4 вместо редко используемой буквы «ㄹ» писали — «ㅎ».
Тогда получалось, что каждой цифре от 1 до 10 соответствует своя буква:
После распределения цифр таким образом для лучшего запоминания их надо связать с каким-нибудь образом и сохранить в воображаемом пространстве в голове. Например, 1592 год, год японского вторжения, можно представить в виде картины
[38], по первым буквам слов можно составить нужное число:
[39]. Если вы хотите встретиться с кем-то четвертого ноября 1974 года, в два часа дня, то это можно вообразить в виде следующей сцены:
[40].
Что касается него самого, то для выступления по телевизору он выучил число π с тысячей цифр после десятичной запятой. Я думаю, что оно, вероятно, было самым красивым числом в мире[41].

[К сожалению, в переводе не удалось сохранить картину, соответствующие тем цифрам, которые есть в корейском тексте, где первая буква каждого слова в стихотворении обозначает какую-нибудь цифру.
Пальмовое дерево, смутно вырисовывающееся во дворе в виде тени зяблика. Эй, душа, тянущаяся всей длиной к голосу ночи! Давным-давно кто-то шел по лесной тропинке и, слушая печальный свист, гладил свои красные брови, вспоминая далекое жаркое лето. В водах медленно текущего ручья, треща, собираются кряквы и пустельги и смотрят вверх мутным взглядом. Темно-синее внимательное время обходит темный круг глубокой ночи, словно в дреме. Первые слова беззаботно летящих облаков: «Недобрые глаза плачут холодом…» Бесполезное сожаление — след ушедшей надежды. На карте души, разбросанной как попало, сорвавшееся ледяное дыхание. На скамейке летнего парка одна, опьянев, поет песню: «Вчера выпал дождь, я с бывшей любимой расстался навсегда». Вспоминая снова ночной поцелуй, рукой, испачканной в земле, коснулся твоего лба. Снова выпавший стойкий осенний белый иней. Усердие первого снега и честность нового года…]
Так как в каждом слове первая согласная буква означает цифру, то выучить такую строку равносильно тому, чтобы выучить первые сто цифр π после десятичной запятой. Например, первые одиннадцать цифр числа π 3,1 415 926 535 представлены фразой
Поэтому, чтобы запомнить тысячи цифр после десятичной запятой, ему требовалось не больше десяти минут. Числа, образованные таким образом, он размещал по порядку в организованном в сознании пространстве памяти.
В случае необходимости можно было создать несколько подобных зон. Например, дела, которые надо было выполнить, он сохранял в своем воображаемом доме. А чтобы не забыть страницу, на которой остановился, он придумывал такую вот картину:
. Когда стихнет тот шторм? Вероятно, он стихнет, когда я дочитаю до конца «Холм штормов» со сто шестьдесят седьмой страницы, на которой закончил читать, закрыв книжку.
Если таким способом передвигаться по воображаемому дому, становятся видны разные дела, которые ждут своего выполнения. Например, напоминание о том, что следует заняться английским языком, он представлял в таком образе:
[43]Выучив ежемесячное расписание поездов национальной железной дороги и очередность всех тридцати одной станции метро, находящихся на первой ветке, он сохранил все это в том же воображаемом доме. Когда у него появлялось время, он, одетый в яркую одежду, ехал на поезде в построенном сознанием пространстве, разглядывал людей, стоящих на платформе, и просматривая список дел.
Прочитали книгу? Предлагаем вам поделится своим впечатлением! Ваш отзыв будет полезен читателям, которые еще только собираются познакомиться с произведением.
Оставить комментарий
-
Гость Алексей04 январь 19:45
По фрагменту нечего комментировать.
Бригадный генерал. Плацдарм для одиночки - Макс Глебов
-
Гость галина01 январь 18:22
Очень интересная книга. Читаю с удовольствием, не отрываясь. Спасибо! А где продолжение? Интересно же знать, а что дальше?
Чужой мир 3. Игры с хищниками - Альбер Торш
-
Олена кам22 декабрь 06:54
Слушаю по порядку эту серию книг про Дашу Васильеву. Мне очень нравится. Но вот уже третий день захожу, нажимаю на треугольник и ничего не происходит. Не включается
Донцова Дарья - Дантисты тоже плачут
-
Вера Попова27 октябрь 01:40
Любовь у всех своя-разная,но всегда это слово ассоциируется с радостью,нежностью и счастьем!!! Всем добра!Автору СПАСИБО за добрую историю!
Любовь приходит в сентябре - Ника Крылатая


