Читать книгу - "Эмоции и чувства - Евгений Ильин"
Нелогичным кажется и то, что, говоря об интеллектуальных эмоциях и чувствах, отечественные психологи почему-то игнорируют интерес, имеющий самое непосредственное отношение к познавательным, а следовательно, и к интеллектуальным процессам.
Эмоциональные свойства человека
Характеристики эмоционального реагирования, постоянно и ярко проявляющиеся у данного человека, являются его эмоциональными свойствами. Их состав представлен на рис. 8.1.

Рис. 8.1. Эмоциональные свойства человека.
В главе 1 говорилось, что эмоциональное реагирование характеризуется быстротой возникновения, интенсивностью и длительностью. Эти характеристики у разных людей проявляются по-разному, в связи с чем можно говорить об эмоциональных свойствах человека: возбудимости и реактивности (интенсивности и длительности эмоций).
«Наблюдая различных людей, – писал А. Ф. Лазурский, – мы видим, что у одних чувства, свойственные им, начинают проявляться лишь в том случае, когда влияние (…) условий достигает значительной интенсивности; только какие-нибудь необычайные события способны нарушить их обычное равнодушие и привести их в состояние некоторого возбуждения. Другие, наоборот, при всяком ничтожном поводе “вспыхивают как порох”, волнуются, кипятятся, приходят в состояние восторга или изумления и т. д.» (1995, с. 142). Как тут не вспомнить распространенные и не совсем правильные представления о вспыльчивых южанах и невозмутимых жителях северных стран.
С точки зрения физиологии, эмоциональная возбудимость есть не что иное как эмоциональная готовность, т. е. готовность эмоционально реагировать на значимые для человека раздражители. Существенную роль в формировании этой готовности играет адреналин. Его введение испытуемым приводило к тому, что они начинали проявлять эмоциональные вспышки на те раздражители, которые раньше оставляли их совершенно спокойными (Cantril, Hunt, 1932).
Р. И. Аллагулов (1971) не выявил достоверной связи между эмоциональной возбудимостью и силой нервной системы.
Вспыльчивость. Эмоциональная возбудимость может проявляться в таких особенностях поведения, как вспыльчивость, раздражительность. Именно в отношении вспыльчивости К. Изард считает целесообразным ввести понятие «эмоциональный порог». Человек с низким порогом эмоции гнева более вспыльчив и чаще находится в этом состоянии.
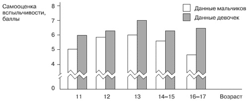
По данным П. А. Ковалева, изучавшего вспыльчивость по самооценкам школьников с 5-го по 11-й классы, она больше выражена в возрасте 13 лет и у девочек по сравнению с мальчиками (рис. 8.2).

Рис. 8.2. Возрастная динамика вспыльчивости.
П. А. Ковалевым были выявлены достоверные корреляции между вспыльчивостью и склонностью к агрессивному поведению у подростков 11—13 лет (табл. 8.1), причем связи были более тесными у девочек.
Таблица 8.1. Связь вспыльчивости со склонностью к агрессивному поведению.

Отсутствие связи в старших возрастных группах объясняется, очевидно, более развитым самоконтролем учащихся.
А. Ф. Лазурский отмечал, что, строго говоря, о значительной эмоциональной возбудимости можно говорить лишь в тех случаях, когда все чувства, доступные данному человеку, возникают у него с одинаковой легкостью. Однако сюда нередко относят и случаи легкой отзывчивости какой-то одной эмоции, особенно при различных патологиях. Эти случаи, по мнению Лазурского, хотя и близки к эмоциональной возбудимости, но не полностью ей тождественны.
Очевидно, что эмоциональная возбудимость отражает общую возбудимость нервной системы, обусловленную уровнем активации покоя. О такой возможности в соответствующих концу ХIХ века физиологических терминах писал А. Фелье (Fouillee, 1895); в основе различной возбудимости чувствований лежит наклонность к быстрому возрастанию нервного вещества в соответствующих центрах (очевидно, автор имел в виду быстрое возрастание возбуждения). Подтверждение этому можно найти во многих работах. Так, А. А. Коротаевым (1970), изучавшим влияние эмоций на трудовые операции учениц профтехучилищ, показано, что лица со слабой нервной системой (т. е. высокоактивированные и легковозбудимые) в большей степени чувствительны к отрицательным эмоциогенным раздражителям, чем лица с сильной нервной системой. Однако, по данным Р. И. Аллагулова (1971), связь между эмоциональной возбудимостью и слабостью нервной системы не достигла уровня достоверности.
Эмоциональная возбудимость способствует эффективности некоторых видов профессиональной деятельности. По данным Н. Е. Высотской (1979), она способствует успешному обучению профессии артиста балета, положительно влияя на выразительность, артистичность, танцевальность, успеваемость по классическому и характерному танцам, а также актерское мастерство (табл. 8.2).
Таблица 8.2. Успешность учебно-профессиональной артистической деятельности (баллы) и эмоциональная возбудимость.

Эмоциональная отзывчивость (восприимчивость, чувствительность). Близким по смыслу к эмоциональной возбудимости является свойство, обозначаемое как эмоциональная отзывчивость.
По В. В. Бойко, эмоциональная отзывчивость как устойчивое свойство индивида проявляется в том, что он эмоционально легко, быстро и гибко реагирует на различные воздействия – социальные события, процесс общения, особенности партнеров и т. д. Это готовность человека откликаться «на себя», «на других», «на дело», «на предметы», «на природу», «на произведения искусства» и т. д.
По данным Ю. А. Цагарелли (1981), эмоциональная отзывчивость музыкантов-исполнителей на музыку отрицательно связана с силой нервной системы (отзывчивость выше у лиц со слабой нервной системой) и положительно – с лабильностью нервной системы.
Утрата эмоционального резонанса – это полное или почти полное отсутствие эмоционального отклика на различные события.
Впечатлительность. К. К. Платонов определяет впечатлительность как свойство личности, выражающееся в доминировании впечатлений над познавательной функцией восприятия мира. При этом впечатление он понимает как психическое явление, в структуру которого входит нечеткое восприятие, усиленное его эмоциональной окраской, в силу чего переживание доминирует в нем над познанием.
А. Ф. Лазурский писал: «Наблюдая в течение продолжительного времени нескольких индивидуумов, мы убеждаемся, что у некоторых из них чувства могут достигать, при известных условиях, такой интенсивности, к которой другие оказываются совершенно неспособными. Вот эту именно способность испытывать при некоторых наиболее благоприятных обстоятельствах такие интенсивные чувства, которые доступны сравнительно лишь немногим, мы и будем называть силой чувствований» (1995, с. 146). Это свойство равнозначно интенсивности, глубине переживаемой эмоции.
Прочитали книгу? Предлагаем вам поделится своим впечатлением! Ваш отзыв будет полезен читателям, которые еще только собираются познакомиться с произведением.
Оставить комментарий
- Аида06 май 10:49Дикарь королевских кровей. Книга 2. Леди-фаворитка - Анна Сергеевна ГавриловаЧитала легко, местами хоть занудно. Но, это лучше, чем 70% подобной тематики произведений.
- вера02 май 00:32Сокровище в пелёнках - Ирина Агуловатекст не четкий трудно читать наверное надоест сброшу книгу может посоветуете как улучшить
- Калинин максим30 апрель 10:11Время Темных охотников - Евгений ГаглоевНедавно прочитал книгу «Время тёмных охотников» и хочу поделиться своими впечатлениями. Автор создал увлекательный мир, полный тайн и загадок. Сюжет затягивает с первых
- Vera24 апрель 16:25Мемуары голодной попаданки - Наталья ВладимироваБольшое спасибо. Прочитала на одном дыхании. Очень положительная героиня. Желаю автору здоровья и новых увлекательный книг.







