Читать книгу - "Факультет. Курс третий - Владислав Картавцев"
Аннотация к книге "Факультет. Курс третий - Владислав Картавцев", которую можно читать онлайн бесплатно без регистрации
– Нет проблем! – Кирилл проводил его взглядом, еле сдерживая смех. – Воистину, пока человек дорастет до полковника, все его юмористические извилины становятся похожими на кирзовый сапог. И другие тоже, извилины – не слишком отличаются от юмористических, кирзовых.
* * *
– И нафига, спрашивается, я их взял? – Кирилл смотрел на свои «боевые цацки»: Орден за Заслуги Перед Отечеством IV степени и Медаль за Отличие в Специальных Операциях. – Что-то я не вижу парадного плаца, по которому я смог бы пройти, гремя медалями и чеканя стройно шаг!
Кирилл вспомнил, как Щербень посоветовал ему взять с собой награды. Павел Иванович особенно настойчиво рекомендовал это сделать – что было для него необычно. И Кирилл послушался, хотя так до сих пор и не понял – а зачем?
– Ну, да и бог с ним. – Кирилл аккуратно уложил орден и медаль обратно в сумку и от нечего делать завалился на кровать. Повалялся минут пятнадцать и взялся за учебник «Основы оптики». Он не собирается понапрасну терять время – лучше почитать материал, чтобы потом – под сессию – не пришлось бегать, как ошпаренному, и пытаться выучить кучу предметов. А то, что сессия – несмотря на все политические и, возможно, военные передряги -будет, Кирилл не сомневался.
«Амплитуда поля не может непосредственно наблюдаться или измеряться, так как поле очень быстро меняется во времени с частотой
и
, а любые приемники излучения имеют значительно большее, чем период колебаний, время инерции
. Поэтому регистрируется лишь усредненная во времени величина – интенсивность поля
.
Из уравнения Максвелла следует, что интенсивность пропорциональна квадрату амплитуды поля
, то есть равна квадрату модуля комплексной амплитуды (произведению комплексной амплитуды на величину, комплексно сопряженную ей):

Можно измерить квадрат модуля комплексной амплитуды, но невозможно измерить фазу и эйконал поля – при регистрации поля они теряются. Для сохранения информации о фазе (эйконале) требуется измерение интенсивности поля, складываемого из нескольких полей.
1.4.2. Наблюдаемые величины при сложении полей
При сложении двух полей
(с фазой
) и
(с фазой
), суммарную интенсивность можно представить в виде:

Таким образом, суммарная интенсивность записывается в виде уравнения интерферограммы:

где
– разность фаз поля.
Явление, возникающее при сложении двух полей, называется интерференцией, а интерферограмма – это картина, наблюдаемая при интерференции.
Сложение когерентных полей
Когерентные поля характеризуются тем, что разность фаз (эйконалов) двух полей остается постоянной за время инерции приемника.
В этом случае суммарная интенсивность определяется выражением (1.4.2), а картина распределения интенсивности представляет собой чередование темных и светлых полос, конфигурация которых зависит от изменения разности фаз
.
Введем понятие референтного (эталонного) поля, которое имеет известную картину фаз. При сравнении с ним выявляются параметры другого поля (интенсивность и фаза). Регистрируемая картина взаимодействия двух полей, одно из которых референтное, называется голограммой. Голограмма – это запись полной информации о поле, то есть его комплексной амплитуды. Интерферограмма и голограмма – способы записи комплексной амплитуды поля путем сравнения его с эталонным полем.
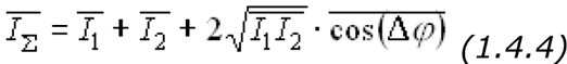
Сложение некогерентных полей
Если разность фаз полей меняется случайным образом много раз за время регистрации, то поля являются некогерентными. При регистрации суммарной интенсивности ее значения по времени усредняются:

В выражении (1.4.4)
– постоянны, их можно не усреднять, а
, тогда, получим выражение для сложения двух некогерентных полей:

1.4.3. Квазимонохроматическое и полихроматическое поле
Поле, излучаемое реальными источниками света, не бывает строго монохроматическим…»
– Да, так я ничего не запомню! – Кирилл отложил в сторону учебник и полез за ручкой и листами бумаги (он специально захватил их из дома, понимая, что материал из «Основ оптики» можно выучить, только выписывая, и снова выписывая все формулы и определения подряд). – И кстати, в очередной раз вопрос: зачем меня сюда привезли? Чтобы позволить учиться в одиночестве? Считай, целый день прошел без толку, и кроме дурного задания от НН я ничем таким не занимался! – под «ничем таким» Кирилл имел в виду специфические задания с использованием видения.
Прочитали книгу? Предлагаем вам поделится своим впечатлением! Ваш отзыв будет полезен читателям, которые еще только собираются познакомиться с произведением.
Оставить комментарий
-
Вера Попова27 октябрь 01:40
Любовь у всех своя-разная,но всегда это слово ассоциируется с радостью,нежностью и счастьем!!! Всем добра!Автору СПАСИБО за добрую историю!
Любовь приходит в сентябре - Ника Крылатая
-
Вера Попова10 октябрь 15:04
Захватывает,понравилось, позитивно, рекомендую!Спасибо автору за хорошую историю!
Подарочек - Салма Кальк
-
Лиза04 октябрь 09:48
Роман просто супер давайте продолжение пожалуйста прочитаю обязательно Плакала я только когда Полина искала собаку Димы барса ♥️ Пожалуйста умаляю давайте еще !))
По осколкам твоего сердца - Анна Джейн
-
yokoo18 сентябрь 09:09
это прекрасный дарк роман!^^ очень нравится
#НенавистьЛюбовь. Книга вторая - Анна Джейн


