Читать книгу - "Гейзенберг. Принцип неопределенности - Жозе Наварро Фаус"
Аннотация к книге "Гейзенберг. Принцип неопределенности - Жозе Наварро Фаус", которую можно читать онлайн бесплатно без регистрации
Когда Гейзенберг поступил в институт, Вольфганг Паули начал пятый семестр и был вторым помощником Зоммерфельда. Паули был вундеркиндом: к тому времени, когда он прибыл из Вены в Мюнхен, он уже успел опубликовать статью по общей теории относительности. Во время обучения Паули написал введение в теорию относительности, которое до сих пор считается прекрасным пособием по этой теме. Гейзенберг и Паули вместе посещали семинары Зоммерфельда всего два семестра, но этого было достаточно, чтобы между ними завязалась дружба. Гейзенберг всегда ценил критику Паули, несмотря на острый язык товарища: «Сколько раз он говорил мне: „Это чушь“».
В системе Зоммерфельда одаренные студенты могли получить докторскую степень практически сразу по окончании обучения – именно так и произошло с Паули и Гейзенбергом. Однако такой подход мог быть чреват большими пробелами в образовании – Зоммерфельд считал, что его студенты должны самостоятельно изучать те разделы физики, которых он не касался. И этим он отличался от своего коллеги Вильгельма Вина, который требовал, чтобы студенты вначале получили фундаментальные знания, а уже затем участвовали в исследовательской работе. В результате после окончания обучения математическая эрудиция Гейзенберга была недостаточной, а его пробелы в физике едва не помешали молодому человеку получить докторскую степень. К тому времени, как Гейзенберг начал участвовать в семинарах Зоммерфельда, он уже несколько лет занимался изучением атомных спектров и моделей атома.
Модель Бора
В 1912 году датчанин Нильс Бор заинтересовался тем, какие последствия может иметь открытие атомного ядра. Мы уже упоминали, что планетарная модель атома, в которой отрицательно заряженные электроны вращаются вокруг большого положительно заряженного ядра, противоречит законам электродинамики. Стабильность атомов нельзя было объяснить классическими теориями. Бору казалось очевидным, что «каким бы ни было изменение законов движения электронов, кажется необходимым ввести величину, чуждую классической электродинамике. Эта величина – постоянная Планка». Постараемся схематично изложить его рассуждения.
Нильс Бор
Датский физик Нильс Бор (1885-1962) в 1922 году был удостоен Нобелевской премии по физике за работы о структуре и излучении атомов. Нет никаких сомнений, что именно Бор оказал наибольшее влияние на развитие квантовой механики и атомной физики. Его Институт теоретической физики в Копенгагене привлекал всех ученых, заинтересованных этими темами. Современное толкование квантовой механики называется копенгагенской интерпретацией – именно так назвал его Гейзенберг. Известны дискуссии об этой интерпретации между Бором и Эйнштейном, который отказывался признать ее следствия. Нильс Бор также внес важный вклад в изучение структуры и свойств атомных ядер.
Гейзенберг и Бор поддерживали очень тесные рабочие и дружеские отношения, которые ухудшились в 1941 году, после визита Гейзенберга в Копенгаген, когда Дания уже была оккупирована нацистами. В 1943 году Бор тайно отправился из Дании в Англию, а затем присоединился к группе британских ученых, участвовавших в создании первой атомной бомбы в американском Лос-Аламосе.
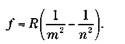
Во-первых, электрон может находиться на орбитах, которые Бор назвал стационарными, и не испускать излучения. Бор предположил, что излучение испускается в момент перехода электрона с одной орбиты, которой соответствует больший энергетический уровень, на другую, с меньшим энергетическим уровнем. В обратном случае излучение поглощается. Обозначим каждую стационарную орбиту целым числом n, соответствующую величину энергии – E(n). Следует напомнить, что, согласно гипотезе Эйнштейна о свете, в которой фигурирует постоянная Планка, энергия излучения (равная произведению частоты ƒ на постоянную Планка h) равна разности энергий между двумя орбитами, которым соответствуют числа тип. Иными словами,

Следует напомнить, что частоты волн в спектре излучения атома водорода описываются формулой Ридберга:

Сравнив эти выражения, мы увидим, что величины энергии Е(n) пропорциональны 1/n² . Именно в этом и заключалась гипотеза Бора, который использовал классические уравнения, чтобы определить искомый коэффициент пропорциональности. В современных учебниках приводится иная, однако эквивалентная, формулировка, в которой предполагается, что момент импульса электрона, находящегося на стационарной орбите, кратен постоянной Планка h. Бор смог выразить постоянную Ридберга через массу электрона, его электрический заряд и, естественно, постоянную Планка. Вычисленное значение совпадало с экспериментальным в пределах погрешности измерения. Таким образом, модель Бора, основанная на разумной, однако ничем не подтвержденной гипотезе, точно описывала результаты экспериментов и стала прекрасной отправной точкой в изучении структуры атомов. Целое число n, которое фигурирует в формуле Бора, называется главным квантовым числом.
Тонкая структура
В этот момент в дело вмешался Зоммерфельд, который в 1916 году, в разгар Первой мировой войны, рассмотрел возможность существования более общих квантовых условий, позволяющих описать атом водорода. Бор предположил, что электроны движутся по круговым орбитам, однако в общем случае орбиты электронов в планетарной модели имеют форму эллипсов. Окружность описывается одной величиной, радиусом, эллипс – двумя, а именно длиной большей и меньшей полуосей. Следовательно, предположил Зоммерфельд, чтобы описать состояние электрона, требовались два квантовых числа. В своих рассуждениях он использовал то же главное квантовое число, п из модели Бора, которое принимало значения 1, 2, 3, … Другое квантовое число, которое он обозначил через k, принимало значения от 1 до n. В современной нотации мы используем число I = k – 1, которое принимает значения от 0 до n – 1. Зоммерфельд обнаружил, что стационарные состояния, характеризующиеся одним и тем же значением n и разными значениями l, имеют одинаковую энергию как для круговой, так и для эллиптической орбиты. Такие состояния называются вырожденными для квантового числа l.
В дополнение к этому Зоммерфельд рассмотрел релятивистские эффекты. Если скорости элементов системы составляют значимую часть скорости света (1% уже является значимой частью), законы классической физики перестают действовать. Зоммерфельд не привел строгое решение релятивистской задачи, а ограничился тем, что нашел приближенное выражение для расчета энергии. Его результат был равен выражению, полученному Бором, с поправкой, зависевшей от чисел n и l. Иными словами, релятивистские эффекты нарушали вырожденное состояние. Поправка зависела от квадрата величины а = e²/(hc), которая, в свою очередь, зависит от величины заряда электрона e, скорости света c и редуцированной постоянной Планка h («аш со штрихом»), равной постоянной Планка h, разделенной на 2π. Величина поправки называется постоянной тонкой структуры и равна примерно 1/137036. Релятивистская поправка очень мала, поэтому ее можно наблюдать лишь при использовании более точных спектроскопических методов (отсюда и название «постоянная тонкой структуры»). Таким образом, обобщение Зоммерфельда, в котором вводилось второе квантовое число, позволяло объяснить еще не известные эффекты.
Прочитали книгу? Предлагаем вам поделится своим впечатлением! Ваш отзыв будет полезен читателям, которые еще только собираются познакомиться с произведением.
Оставить комментарий
-
Вера Попова10 октябрь 15:04
Захватывает,понравилось, позитивно, рекомендую!Спасибо автору за хорошую историю!
Подарочек - Салма Кальк
-
Лиза04 октябрь 09:48
Роман просто супер давайте продолжение пожалуйста прочитаю обязательно Плакала я только когда Полина искала собаку Димы барса ♥️ Пожалуйста умаляю давайте еще !))
По осколкам твоего сердца - Анна Джейн
-
yokoo18 сентябрь 09:09
это прекрасный дарк роман!^^ очень нравится
#НенавистьЛюбовь. Книга вторая - Анна Джейн
-
Гость Алла10 август 14:46
Мне очень понравилась эта книга, когда я её читала в первый раз. А во второй понравилась еще больше. Чувствую,что буду читать и перечитывать периодически.Спасибо автору
Выбор без права выбора - Ольга Смирнова


