Читать книгу - "Политика у шимпанзе. Власть и секс у приматов - Франс В.М. де Валь"
Аннотация к книге "Политика у шимпанзе. Власть и секс у приматов - Франс В.М. де Валь", которую можно читать онлайн бесплатно без регистрации

Тарзан повзрослел, когда на своем горьком опыте узнал, у кого есть сексуальные привилегии, а у кого нет. Никки зажал его ногу своими зубами и крутит его туда-сюда
Влечение Амбер и Ор к двум самым молодым самцам в нашей колонии соответствует этой схеме, однако реальная проверка механизма уклонения от инцеста сможет состояться только через несколько лет. На данный момент самцы-подростки «спариваются» с каждой самкой, которая позволяет им делать это, даже с собственными матерями. Но одна из матерей, Тепел, не терпит такого поведения. В период течки она отказывается «спариваться» со своими сыновьями Ваутером и Тарзаном. Она отталкивает их, когда у них появляется эрекция, однако позволяет другим детенышам сделать попытку. Интересно посмотреть, будут ли различия в воспитании, которым разные матери занимаются по-разному, отражаться в более поздних отношениях матерей и сыновей.
В мире животных сексуальное соперничество самцов встречается на каждом шагу. Даже сладкоголосая песня самца соловья – пример этой тяжелой борьбы. Его песня предупреждает других самцов, чтобы они держались подальше от его территории, и привлекает самок. Формирование территорий – один из способов разграничения прав на продолжение рода; другой такой способ – формирование иерархии. Существует вполне определенная связь между властью и сексом; ни одну социальную организацию невозможно верно понять, не зная сексуальные правила и то, как осуществляется забота о потомстве. Даже такой всем известный краеугольный камень нашего общества, как семья, является, по существу, единицей полового воспроизводства. Зигмунд Фрейд, размышляя об истории этой единицы, придумал «первобытную орду», где наши праотцы подчинялись одному-единственному вождю, который ревниво охранял свои половые права и привилегии, не разделяя их ни с кем другим. Этот ревнивый, но харизматичный мужчина, Отец, был в конечном счете убит своими собственными сыновьями, которые разрезали его на куски. Позже возникла новая форма групповой жизни, во главе которой также стоял мужчина, однако эта новая группа была лишь тенью прежней, поскольку «в ней было много отцов, и каждый был ограничен правами других». По Фрейду, мы так и не сумели до конца избавиться от этого образа всемогущего отца, поэтому он продолжает жить в наших табу и религиях.
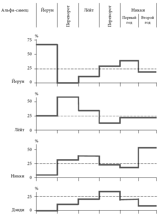
Когда я наблюдаю за шимпанзе в Арнеме, у меня иногда возникает ощущение, что я изучаю первобытную орду Фрейда, словно бы машина времени переместила меня в доисторические времена, чтобы я мог исследовать сельскую жизнь наших предков. Они все еще согласны с droit du seigneur[10] – одним из ныне забытых продуктов западной культуры. Когда Йерун был альфа-самцом, он один отвечал примерно за три четверти всех спариваний. Если не считать половых актов с молодыми самками (которые вызывают не так много соперничества), его доля доходила почти до 100 %. Секс был его монополией в группе. Эта ситуация изменилась, когда Лёйт и Никки восстали против него. Йеруна не разорвали на части, но после этого он уже никогда не смог вернуть себе прежнюю долю половой активности. Кроме того, ни один другой самец не оказался достаточно сильным, чтобы монополизировать самок в течке в той же мере, в какой это удавалось Йеруну в его лучшие времена. С другой стороны, спаривания в период, когда вожаком был Никки, все же не распределялись равномерно между четырьмя самцами группы. Во времена сразу после падения Йеруна сексуальные контакты доставались Никки и прежде всего Лёйту. Доля Йеруна начала расти снова лишь тогда, когда Лёйта сместили (Йерун и Никки), а нового пика она достигла в первый год лидерства Никки; в то время показатель Йеруна был выше, чем у его партнера по коалиции. В следующий год Йеруну пришлось отступить; теперь доля Никки составляла более 50 %. Во все эти годы доля Дэнди оставалась ниже 25 %, если не брать смутных месяцев второго переворота.
В целом существует вполне определенная связь между рангом самца и его частотой спаривания, хотя она и является не строгим законом, а скорее правилом, из которого могут быть исключения. Дело не в том, что самцы с более высоким рангом мужественнее, а в том, что они невероятно нетерпимы к соперникам с более низким рангом – они отгоняют их от самок в течке. Если они застают какого-то другого самца за спариванием, они тут же вмешиваются, набрасываясь на него или его партнершу. Самки хорошо понимают этот риск. Иногда самка постоянно отклоняет приглашения некоторых самцов, словно бы она ими совсем не интересуется. Но потом, когда вся колония уходит вечером в помещение, внезапно появляются возможности для спокойного спаривания, и тут-то и выясняется, что такая самка совсем не прочь спариться с самцами, на которых она холодно взирала весь день. Мы даже видели самок, которые бегут к клеткам самцов, чтобы быстро спариться с ними через решетку. Это происходит, разумеется, только тогда, когда альфа-самец все еще находится снаружи или отделен от них в другой части системы переходов. Если альфа-самец случайно замечает происходящее, он тут же начинает ухать и запугивать их, но не может вмешаться.
Какова причина такой нетерпимости? Почему самцы не могут оставить друг друга в покое? Ревность – лишь половина истории. Остается еще проблема ее функции. Ревность давно бы исчезла с лица земли, если бы напряжение и риски, вызываемые ею, не имели бы какой-то положительной функции. Биологическое объяснение сексуального соперничества самцов выглядит следующим образом. Самку может оплодотворить только один самец. Удерживая других самцов на расстоянии от нее, самец увеличивает вероятность того, что он будет отцом детеныша. Соответственно, детеныши будут чаще рождаться от ревнивых, а не от толерантных самцов. Если ревность передается по наследству, что предполагается данной теорией, будет рождаться все больше детенышей с этой характеристикой, а потом они сами будут пытаться исключать других членов того же пола из акта воспроизводства.

РИС. 4. Частота спаривания
Если общее количество спариваний было бы равномерно распределено между четырьмя взрослыми самцами, на долю каждого приходилось бы 25 %. На самом деле, в 1974–1979 гг. было три периода, когда на долю одного-единственного самца приходилось более половины всех спариваний: сначала это был Йерун, потом Лёйт, когда он стал претендовать на власть, а потом Никки во второй год своего лидерства
Если самцы борются за право оплодотворить как можно больше самок, для самок ситуация выглядит совершенно иначе. С каким бы количеством самцов она ни совокуплялась – с одним или сотней, это не повлияет на число детенышей, которых она родит. Поэтому ревность среди самок не так выражена. Конкуренция самок возникает почти исключительно у видов с парными связями, например, многих птиц и немногих млекопитающих. В этих случаях самки пытаются завоевать или защитить долгосрочные связи с самцом. Хорошим примером выступает наш собственный вид: исследования Дэвида Басса показали, что если мужчины больше всего расстраиваются при мысли о том, что их жена или подруга занимается сексом с каким-то другим мужчиной, женщинам больше всего не нравится мысль о том, что их муж или партнер на самом деле любит другую женщину, независимо от того, был ли у него с ней секс. Поскольку женщины смотрят на такие вещи с точки зрения отношений, их больше волнует возможная эмоциональная связь между их партнером и другой женщиной.
Прочитали книгу? Предлагаем вам поделится своим впечатлением! Ваш отзыв будет полезен читателям, которые еще только собираются познакомиться с произведением.
Оставить комментарий
-
Вера Попова10 октябрь 15:04
Захватывает,понравилось, позитивно, рекомендую!Спасибо автору за хорошую историю!
Подарочек - Салма Кальк
-
Лиза04 октябрь 09:48
Роман просто супер давайте продолжение пожалуйста прочитаю обязательно Плакала я только когда Полина искала собаку Димы барса ♥️ Пожалуйста умаляю давайте еще !))
По осколкам твоего сердца - Анна Джейн
-
yokoo18 сентябрь 09:09
это прекрасный дарк роман!^^ очень нравится
#НенавистьЛюбовь. Книга вторая - Анна Джейн
-
Гость Алла10 август 14:46
Мне очень понравилась эта книга, когда я её читала в первый раз. А во второй понравилась еще больше. Чувствую,что буду читать и перечитывать периодически.Спасибо автору
Выбор без права выбора - Ольга Смирнова


