Читать книгу - "На волне Вселенной. Шрёдингер. Квантовые парадоксы - Давид Бланко Ласерна"
Аннотация к книге "На волне Вселенной. Шрёдингер. Квантовые парадоксы - Давид Бланко Ласерна", которую можно читать онлайн бесплатно без регистрации
Матрицы — это особые математические объекты, которые могут быть представлены в виде таблицы, состоящей из строк и столбцов, с произвольным числом в каждой клетке.
| 5 | -1 | 52 |
| 7/3 | 8 | -21 |
| 0 | -19/7 | 1 |
Обычно их пишут в скобках и без клеток:
5 -1 52
7/3 8 -21
0 -19/7 1
С матрицами можно производить различные операции (сложение, вычитание, умножение или деление), которые дают новые матрицы в соответствии с особыми математическими правилами.
Одним из их основных свойств является некоммутативность матричного произведения: А • В =/= В • А. Это означает, что хорошо известный принцип, согласно которому «порядок множителей не влияет на произведение», не выполняется. Чтобы привести более наглядный пример некоммутативности какой-либо операции, рассмотрим вращения в пространстве. Повороты математически могут быть представлены как произведение матриц. Пусть М и S — это две точки на сфере; если мы осуществляем два последовательных оборота вокруг осей, которые проходят через них, результат будет зависеть от направления (см. рисунок).
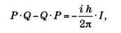
Объясняя таинственные правила Гейзенберга при помощи старых алгебраических методов, Борн и Йордан сформулировали одно из самых важных уравнений всей квантовой механики:

где Р и Q являются матрицами, представляющими количество движений (Р) и расположение (Q, i — корень от -1, a h — постоянная Планка. I — это единичная матрица, которая играет такую же роль в алгебре матриц, что и число 1 в арифметике.

В первом случае конечное расположение М и S — это М1 и S1. Во втором — это М2 и S2. Как можно увидеть, они не совпадают. Второй случай переносит точку М2 на другую сторону сферы.
Уравнение (1) означает, что произведение Р х Q дает матрицу, отличную от Q • Р. Из этого можно сделать вывод: каждое измерение материального объекта (например, электрона) меняет его. Таким образом, если вначале определяют положение, а затем импульс, результат отличается от того, который мы получим при измерении сначала импульса, а затем положения. Это удивительное наблюдение говорит о принципе неопределенности, как мы это увидим дальше. На тех уровнях, где h появляется исчезающе малой величиной, мы имеем дело с феноменами, которые можем наблюдать с помощью наших органов чувств, и можно предположить, что постоянная равна нулю, как в хитрости Больцмана, которую Планк использовал, чтобы сократить спектр излучения внутри печи.
Таким образом, если h → 0, тогда: Р • Q— Q • Р = 0, откуда: P • Q = Q • P.
Произведение вновь становится коммутативным, и мы оказываемся в обычной ситуации. Аналогично, расстояние между дискретными значениями стремится к нулю и доходит до него, что позволяет вернуться к классическому подходу. Уравнение (1) играет такую же роль углового камня матричной механики, как и уравнение Шрёдингера для волновой механики. На самом деле значительные трудности, возникающие с некоммутативностью матриц, означают, что мы работаем с квантовым состоянием.
В титанической работе на более чем 30 страницах Вольфганг Паули рассчитал уровни энергии Еn стационарных состояний атома водорода (знаменитая формула Бора), применяя идеи Гейзенберга и Борна до того, как Шрёдингер сделал то же самое со своим волновым уравнением. Несмотря на успех, это нововведение было не очень принято в физических кругах.
В марте 1926 года Эйнштейн осторожно заявил: «Концепции Борна и Гейзенберга заставляют нас потерять дар речи, они переворачивают видение любого человека, склонного к теории. Мы, наблюдавшие за этим, ощущаем не столько смирение, сколько некоторое напряжение». Наедине он давал волю сарказму: «Гейзенберг снес огромное квантовое яйцо. Гёттингенцы верят ему, я — нет».
Шрёдингер был согласен с Эйнштейном. Его волновая механика была ответом на захватывающий поворот событий, который принимали квантовые теории, звучавшие в Гёттингене:
«Для меня крайне сложно подойти к проблемам, вроде уже упомянутых, если мы вынуждены по эпистемологическим причинам вычеркнуть видение атомной динамики и работать лишь с абстрактными концепциями, такими как вероятности перехода, уровни энергии и так далее».
Борн считал, что Шрёдингер ищет путь, который позволил бы вернуться к классической физике, дающей ясное понимание событий.
Физика матриц
Чтобы определить каждый из элементов матриц, мы прибегаем к тому же методу, который используется в игре в морской бой. Только вместо применения буквы и цифры (A1, G5) мы вводим две цифры: первая обозначает строку, вторая — столбец. Таким образом, в примере, приведенном выше, число -21 находится на позиции 23 (вторая строка, третий столбец), а число 0 — на позиции 31 (третья строка, первый столбец). Когда речь идет о произвольной матрице, ее элементы представляют буквами:

Элементы с двумя одинаковыми индексами составляют диагональ матрицы.
Классическая непрерывность естественно выражается функциями. Квантовая дискретность отлично сочетается с матрицами. Если представить уровни энергии атома водорода (по формуле Бора) с помощью горизонтальных линий:

получим схему, похожую на изображенную на следующем рисунке.

Значения для каждого уровня выражены в электронвольтах — единицах измерения энергии в малых количествах, адаптированных для масштаба атома. Например, 3,75 • 1020 eV необходимо, чтобы заставить работать электрическую лампочку мощностью 60 W в течение одной секунды.
Прочитали книгу? Предлагаем вам поделится своим впечатлением! Ваш отзыв будет полезен читателям, которые еще только собираются познакомиться с произведением.
Оставить комментарий
-
Вера Попова27 октябрь 01:40
Любовь у всех своя-разная,но всегда это слово ассоциируется с радостью,нежностью и счастьем!!! Всем добра!Автору СПАСИБО за добрую историю!
Любовь приходит в сентябре - Ника Крылатая
-
Вера Попова10 октябрь 15:04
Захватывает,понравилось, позитивно, рекомендую!Спасибо автору за хорошую историю!
Подарочек - Салма Кальк
-
Лиза04 октябрь 09:48
Роман просто супер давайте продолжение пожалуйста прочитаю обязательно Плакала я только когда Полина искала собаку Димы барса ♥️ Пожалуйста умаляю давайте еще !))
По осколкам твоего сердца - Анна Джейн
-
yokoo18 сентябрь 09:09
это прекрасный дарк роман!^^ очень нравится
#НенавистьЛюбовь. Книга вторая - Анна Джейн


