Читать книгу - "Журнал "Наука. Величайшие теории" №2. Самая притягательная сила природы. Ньютон. Закон всемирного тяготения - Антонио Дуран"
Аннотация к книге "Журнал "Наука. Величайшие теории" №2. Самая притягательная сила природы. Ньютон. Закон всемирного тяготения - Антонио Дуран", которую можно читать онлайн бесплатно без регистрации
Однако этот результат лишь кажется абсурдным, поскольку, как показывает предыдущая таблица для наших функций s(t) = sqrt(t) и v(t) = t² , когда h – маленькое число, хотя и стремящееся к нулю, оба частных,

вполне имеют смысл и похожи на уже полученные значения: 0,5 для функции s(t) = sqrt(t), и 2 – для функции v(t) = t². Немного дальше мы увидим, что на самом деле эти значения совпадают с производными обеих функций в точке 1: s'(1) = 0,5, v’(l) = 2.
Однако деление на ноль, с которым столкнулись при вычислении производной ученые XVII века, представляло некоторую сложность, которая появлялась каждый раз, когда они пытались вычислить, например, касательную к кривой или мгновенную скорость при известном расстоянии, пройденном движущимся телом.
Следует иметь в виду, что до появления анализа бесконечно малых (а произошло это в конце XVII века) могли изучаться только самые простые виды движения: равномерное движение, при котором пройденное расстояние линейно зависит от времени, скорость постоянна и отсутствует ускорение, или равномерно ускоренное движение, когда пройденное расстояние пропорционально квадрату времени и, таким образом, скорость пропорциональна времени и постоянному ускорению.
Изучение последнего вида движения, которое наблюдается, например, при падении тела под воздействием силы тяготения, потребовало всех мыслительных способностей гениального Галилея, который вник в сущность явления за несколько десятилетий до того, как благодаря анализу бесконечно малых изучение этого типа движения стало относительно простым.
Вернемся к одному из наших примеров: тело в движении прошло расстояние s(t) = sqrt(t) за время t (время мы измеряем в секундах, а расстояние – в метрах). Расчет средней скорости, с которой двигается тело, – задача легкая: например, за период времени между 1 и 4 секундами средняя скорость будет равняться результату деления пройденного расстояния на затраченное время:
Средняя скорость

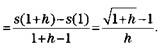
Но что произойдет, если вместо средней скорости за интервал времени мы захотим измерить мгновенную скорость, с которой движется тело в конкретный момент? Для простоты представим, что мы хотим измерить эту скорость именно в тот момент, когда наступает первая секунда движения. Для этого возьмем изменение времени h и посчитаем среднюю скорость между 1 и 1 + h.
Средняя скорость
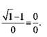
Чтобы посчитать мгновенную скорость в первую секунду, достаточно приравнять h к нулю. Но тогда, как и ранее, мы получим не имеющий смысла результат:
Мгновенная скорость в момент времени 1 =
Это происходит потому, что мгновенная скорость соответствует значению производной функции, которая измеряет расстояние s(t) = sqrt(t) при t = 1.
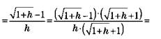
Предыдущая таблица показывала, что значение этой производной должно быть 0,5. Теперь посмотрим как, используя предыдущее выражение, мы можем выполнить кажущееся бессмысленным деление на ноль и получить ожидаемое значение:
Средняя скорость
Далее умножаем числитель и знаменатель на sqrt(1+h) + 1 и сокращаем:
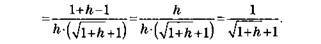
Средняя скорость

Если в этом выражении мы приравняем значение h к нулю, задача меняется, и при h = 0 отсутствует деление на ноль. Как и подсказывала таблица, частное при h = 0 составляет 0,5. В физических терминах это означает:
Мгновенная скорость в момент времени

Таким образом, от бессмысленного деления нуля на ноль мы пришли к заключению, что если тело проходит sqrt(t) метров за t секунд, то за 1 секунду оно движется со скоростью:
ИНТЕГРАЛ И ОСНОВНАЯ ТЕОРЕМА АНАЛИЗА
Другое базовое понятие анализа бесконечно малых – интеграл. Он применяется для измерения площади графика функции.
Пусть у нас есть функция ƒ, определенная между числами a и b, тогда интеграл . символ интегралbaƒ(t)dt есть площадь образованной функцией фигуры. Символ символ интеграл для записи интеграла ввел Лейбниц, он является стилизацией буквы s – первой буквы слова «сумма». Почему выбор Лейбница пал именно на нее, мы увидим позже.
Прочитали книгу? Предлагаем вам поделится своим впечатлением! Ваш отзыв будет полезен читателям, которые еще только собираются познакомиться с произведением.
Оставить комментарий
-
Вера Попова10 октябрь 15:04
Захватывает,понравилось, позитивно, рекомендую!Спасибо автору за хорошую историю!
Подарочек - Салма Кальк
-
Лиза04 октябрь 09:48
Роман просто супер давайте продолжение пожалуйста прочитаю обязательно Плакала я только когда Полина искала собаку Димы барса ♥️ Пожалуйста умаляю давайте еще !))
По осколкам твоего сердца - Анна Джейн
-
yokoo18 сентябрь 09:09
это прекрасный дарк роман!^^ очень нравится
#НенавистьЛюбовь. Книга вторая - Анна Джейн
-
Гость Алла10 август 14:46
Мне очень понравилась эта книга, когда я её читала в первый раз. А во второй понравилась еще больше. Чувствую,что буду читать и перечитывать периодически.Спасибо автору
Выбор без права выбора - Ольга Смирнова


