Читать книгу - "Пространство - это вопрос времени. Эйнштейн. Теория относительности - Давид Бланко Ласерна"
Аннотация к книге "Пространство - это вопрос времени. Эйнштейн. Теория относительности - Давид Бланко Ласерна", которую можно читать онлайн бесплатно без регистрации
В мире Ньютона и Галилея каждое событие мгновенно отзывается во всем пространстве, и поэтому понятие одновременности имеет смысл. В мире относительности такая степень согласованности невозможна. Мы можем отвечать только за наши собственные измерения и общаться с остальным миром, посылая ему зондирующие сигналы – например, в виде световых лучей. Опираясь на полученные таким образом сведения, мы построим нашу версию происходящего. Не существует прибора, с помощью которого мы могли бы увидеть, что же происходит на самом деле.
Неуловимый луч
Закончив статью «К электродинамике движущихся тел», Эйнштейн смог, наконец, ответить на вопрос, который пришел ему в голову еще в 16 лет: что будет, если догнать луч света? Сейчас ответ всем известен: догнать луч света не может никто и ничто. Но почему же превысить скорость света или хотя бы достичь ее невозможно?
Тысячи птиц летают в небе, по улицам бегают дети, ветер несет обрывки бумаги и листья. Скорости вокруг нас постоянно меняются, и вопрос напрашивается сам собой: в чем же причина того, что существует верхняя граница, заданная светом? Может же пилот «Формулы-1» нажать на педаль газа и менее чем за 2 секунды от полной неподвижности развить скорость 100 км/час. Однако при переходе на следующий уровень что-то меняется, и космический корабль не может разгоняться бесконечно. Откуда берется это ограничение, преодолеть которое не может ни одно тело во Вселенной?
Одно из следствий формулы F = m • а заключается в том, что если применить силу к некоторому телу, то оно приобретет тем большее ускорение, чем меньше его масса, и наоборот. Наш опыт подтверждает это правило без необходимости прибегать к математическим расчетам. Для того чтобы сдвинуть настольную лампу, необходимо гораздо меньшее приложение силы, чем для того, чтобы привести в движение грузовик. Таким образом, массу можно объяснить как способ сопротивления тел при изменении их скорости. С увеличением скорости масса растет. При низких скоростях этот эффект практически незаметен: идущий человек увеличивает свою массу в 0,00000000000000001 раза.
По мере того как растет скорость, растет и сопротивление изменению скорости. При приближении к скорости света масса становится почти бесконечно огромной, как и ее сопротивление ускорению. Поэтому Эйнштейн заключил: «Скорости, превышающие скорость света, невозможны».
В действительности принцип относительности не так категоричен. Несмотря на то что ни одно тело не сравнится по скорости со светом, можно допустить существование и более быстрых частиц – при условии, что они никогда не замедляются так, чтобы двигаться медленнее света. Скорость света – это та граница, которую нельзя нарушить ни с какой стороны: ни со стороны более низких скоростей, ни со стороны более высоких. Поскольку время при приближении к скорости света течет все медленнее и медленнее, переступив этот порог, мы должны были бы путешествовать в прошлое. Теоретически существование сверхсветовых частиц поражает, но на практике оно несет огромное количество головоломок, вероятные нарушения случайности и возможность посылать сообщения в прошлое.
Когда целое не равняется сумме частей
Если шкалы времени и пространства в мире теории относительности искажаются, то любая величина, которую мы создадим с опорой на них, также будет нести в себе искажение. Например, снова скорость. Предположим, что из системы отсчета D, движущейся со скоростью и, видна муха, летящая по прямой, параллельной горизонту. Для того чтобы узнать, с какой скоростью она летит, нам нужны ее координаты по оси х’ и время t' измеренное в системе D:

Но в системе G скорость мухи рассчитывается с помощью других координат времени и пространства: x и t.

Преобразования Лоренца позволяют нам связать обе скорости, с которой муха преодолевает пространство в растущий промежуток времени:

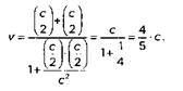
Поразмыслив над этим уравнением, мы поймем, что оно означает невозможность достичь скорости света. Наш здравый смысл восстает против этого заявления и предлагает следующее: а если мы представим себе корабль, перемещающийся со скоростью, равной одной второй скорости света (с/2), а на его палубе находится пулемет, производящий выстрелы со скоростью, также равной одной второй скорости света (с/2)? Это значит, что с причала – по крайней мере теоретически – мы должны увидеть пулю, рассекающую воздух со скоростью с. Но Эйнштейн говорит нам о совсем другом результате опыта:

В относительной арифметике сумма одной второй и одной второй равняется четырем пятым
Самая известная формула всех времен: Е= mc²
В сентябре 1905 года, три месяца спустя после отправки статьи «К электродинамике движущихся тел» в журнал «Анналы физики», Эйнштейн написал работу для приложения к тому же журналу. Новая статья отвечала на вопрос, вынесенный в заглавие: «Зависит ли инерция тела от содержащейся в нем энергии?» Вопрос был риторическим, а ответ принял форму уравнения Е = mc² .
Эйнштейн вывел это уравнение исходя из весьма специфической ситуации: наличия тела, испускающего электромагнитное излучение, и двух систем отсчета. В первой тело находилось в состоянии покоя, а вторая двигалась относительно него с постоянной скоростью. Он определил, что энергетические потери при излучении сопровождались также потерей массы m = Е/с². Свои выводы ученый возвел в ранг универсального принципа.
Если тело отдает энергию L в виде излучения, то его масса уменьшается на L/V². Очевидно, что масса, взятая у тела, прямо переходит в энергию излучения, так что мы приходим к более общему выводу. Масса тела есть мера содержащейся в нем энергии; если энергия изменяется на величину L, то масса меняется соответственно на величину L/(9 • 1020 ), причем здесь энергия измеряется в эргах, а масса – в граммах. Не исключена возможность того, что теорию удастся проверить для веществ, энергия которых меняется в большей степени (например, для солей радия). Если теория соответствует фактам, то излучение переносит инерцию между излучающими и поглощающими телами.
Эта формула впечатляет, но описываемые ею явления могут остаться для нас незамеченными. К примеру, излучая свет, лампочка в 11 Вт теряет каждую секунду 0,00000000000000012 кг.
Прочитали книгу? Предлагаем вам поделится своим впечатлением! Ваш отзыв будет полезен читателям, которые еще только собираются познакомиться с произведением.
Оставить комментарий
-
Вера Попова10 октябрь 15:04
Захватывает,понравилось, позитивно, рекомендую!Спасибо автору за хорошую историю!
Подарочек - Салма Кальк
-
Лиза04 октябрь 09:48
Роман просто супер давайте продолжение пожалуйста прочитаю обязательно Плакала я только когда Полина искала собаку Димы барса ♥️ Пожалуйста умаляю давайте еще !))
По осколкам твоего сердца - Анна Джейн
-
yokoo18 сентябрь 09:09
это прекрасный дарк роман!^^ очень нравится
#НенавистьЛюбовь. Книга вторая - Анна Джейн
-
Гость Алла10 август 14:46
Мне очень понравилась эта книга, когда я её читала в первый раз. А во второй понравилась еще больше. Чувствую,что буду читать и перечитывать периодически.Спасибо автору
Выбор без права выбора - Ольга Смирнова


