Читать книгу - "Формирование стоимости и определение эффективности инвестиций - НаньНань Чжан"
Аннотация к книге "Формирование стоимости и определение эффективности инвестиций - НаньНань Чжан", которую можно читать онлайн бесплатно без регистрации
В ГЭСН приводятся данные о расходе ресурсов: затрат труда рабочих, чел. – ч; времени работы строительных машин, маш. – ч; материалов – натуральные показатели (м3, м2, т, шт., кг и т. д.) на принятый измеритель работ (обычно укрупненный), 100 м2, 100 м3 и т. п.
Сметные цены на ресурсы в сборниках единичных расценок приняты в базисных ценах на 01.01.2000 г. Сметные цены на эксплуатацию строительных машин и на материалы приводятся в соответствующих сборниках (ССЦ); федеральных (в базисных ценах) и для Санкт-Петербурга (в базисных и текущих ценах, ежемесячно).
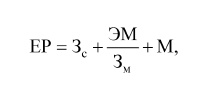
Единичная расценка (ЕР) – калькуляция прямых затрат на выполнение единицы работ или конструктивных элементов.
, (3.1)
где Зс – заработная плата рабочих-строителей, руб.;
Зс=Hcчел. – ч × Стар(3.2)
– расходы на эксплуатацию строительных машин, в том числе заработная плата машинистов (Зм), руб.;
, (3.3)
М – материалы, руб.;
, (3.4),
где
Hcчел. – ч – норма затрат труда рабочих-строителей на выполнение единицы работ, чел. – ч; Нмаш. – чi – норма затрат машинного времени на выполнение единицы работ, маш. – ч; i – виды машин; Hнорммj – норма расхода j-го материала на выполнение единицы работ, натуральные показатели (м3, м2, т и т. п.); Стар – тарифные ставки рабочего соответствующего разряда, руб./ч; Цмаш. – чi – сметная стоимость эксплуатации строительных машин, руб./маш. – ч; Цмj – сметная стоимость строительных материалов, руб./ед.
В сметах учитываются накладные расходы (состав их показан в главе 2, на рис. 2.2), сметная прибыль. Могут включаться так называемые лимитированные затраты: на временные здания и сооружения, зимние удорожания. Они также рассчитываются по сметным нормативам (рис. 3.2).
Для составления смет используются разные нормативные базы (в ценах на 01.01.2000 г.):
• при финансировании стройки из средств федерального бюджета (ФЕР-2001), издания 2009, 2014 гг.; для строек, финансируемых из средств бюджета Санкт-Петербурга:
• территориальная сметно-нормативная база ТСНБ «Госэталон 1.1» (для строек, начатых до 2012 г.);
• территориальная сметно-нормативная база ТСНБ «Госэталон-2012» – для строительства, начинаемого с 2012 г.

Рис. 3.2. Сметные нормативы сопутствующих затрат при производстве строительно-монтажных работ
Для строек, финансируемых за счет средств частных инвесторов, локальные сметы обычно составляются по сборникам ТЕР-2001 СПб. (с дополнениями и изменениями), разработанными Санкт-Петербургским Региональным центром по ценообразованию в строительстве (РЦЦС СПб.), утвержденным и введенным в действие с 01.01.2002 г. приказом Комитета экономики и промышленной политики Администрации Санкт-Петербурга от 07.09.2001 г. № 223 (с учетом дополнений и изменений, введенных в период 2002–2013 гг.).
Локальные сметы – это первичная сметная документация. Они составляются на отдельные виды работ и затрат по зданиям и сооружениям, общеплощадочным работам.
В соответствии с действующим порядком сметная документация на экспертизу должна представляться в базисном (без индексации затрат) и текущем уровнях цен.
Сметная стоимость строительных работ в базисных ценах определяется по формуле (3.5):
, (3.5)
где Vi – физический объем работ в натуральных измерителях; i (1, 2…., n) – виды работ в смете; ЕРi – единичная расценка на i-й вид работ, руб.;
– прямые затраты по смете; НР – накладные расходы, определяются в процентах от фонда оплаты труда рабочих-строителей и машинистов (Зс+Зм) по нормам, установленным в МДС81– 33.2004; Псм – сметная прибыль, определяется в процентах от фонда оплаты труда рабочих-строителей и машинистов (Зс+Зм) по нормам, установленным в МДС81–25.2001 (с изменениями).
В текущих ценах – с индексацией статей прямых затрат; накладные расходы с коэффициентом 0,85 и сметная прибыль – с коэффициентом 0,8 (по письму Минрегиона от 17.03.2011 г.).
Применяются два метода индексации: по статьям затрат или общей сметной стоимости:
• при индексации статей прямых затрат:
, (3.6)
где Jзп, Jм, Jмат – индексы оплаты труда рабочих, эксплуатации машин, стоимости материалов по видам работ;
• при индексации общей сметной стоимости строительно-монтажных работ:
(3.7)
где J″тек – индексы к общей сметной стоимости по зданиям, сооружениям и видам строительно-монтажных работ.
Прочитали книгу? Предлагаем вам поделится своим впечатлением! Ваш отзыв будет полезен читателям, которые еще только собираются познакомиться с произведением.
Оставить комментарий
-
Вера Попова27 октябрь 01:40
Любовь у всех своя-разная,но всегда это слово ассоциируется с радостью,нежностью и счастьем!!! Всем добра!Автору СПАСИБО за добрую историю!
Любовь приходит в сентябре - Ника Крылатая
-
Вера Попова10 октябрь 15:04
Захватывает,понравилось, позитивно, рекомендую!Спасибо автору за хорошую историю!
Подарочек - Салма Кальк
-
Лиза04 октябрь 09:48
Роман просто супер давайте продолжение пожалуйста прочитаю обязательно Плакала я только когда Полина искала собаку Димы барса ♥️ Пожалуйста умаляю давайте еще !))
По осколкам твоего сердца - Анна Джейн
-
yokoo18 сентябрь 09:09
это прекрасный дарк роман!^^ очень нравится
#НенавистьЛюбовь. Книга вторая - Анна Джейн


