Читать книгу - "Эволюция Вселенной и происхождение жизни - Пекка Теерикорпи"
Аннотация к книге "Эволюция Вселенной и происхождение жизни - Пекка Теерикорпи", которую можно читать онлайн бесплатно без регистрации
Рис. 28.3. Ферментативный катализ, (а) Фермент-катализатор захватывает реагирующие молекулы (субстраты) и держит их вместе в оптимальном положении, поэтому они могут легко прореагировать и создать продукт. (б) Влияние ферментативного катализа на скорость биохимических реакций в зависимости от времени.
Открытие генетики и ее химические основы.
Австрийский монах Грегор Мендель (1822–1884) проделал основополагающую работу для определения законов и механизмов наследственности. В течение многих лет на монастырском огороде он выращивал горох и детально описал все 10 000 выращенных им растений. При этом он смог проследить в течение нескольких поколений характер наследования некоторых признаков, таких как цвет семян, и нашел закономерности наследования. Он опубликовал свои результаты в 1886 году, но оценить их смогли только после того, как в начале 1900-х годов некоторые закономерности были открыты заново. Мендель выдвинул идею о единице наследственности — сейчас ее называют геном, — которая определяет каждое наследуемое свойство.
Раньше считалось, что гены содержатся в белках, управляющих большинством клеточных функций. О существовании ДНК было известно, но, поскольку в ней только 4 основания, ее структура считалась слишком простой, чтобы кодировать большое количество генетической информации. К ДНК относились как к языку, в алфавите которого всего четыре буквы. Но затем некоторые ученые (Освальд Эйвери, Колин Маклауд и Маклин Маккарти в 1944 году, а также Алфред Херши и Марта Чейз в 1952-м) показали, что генетические свойства все же передаются при помощи ДНК, а не белков. Постепенно стало выясняться, каким огромным потенциалом кодирования обладает ДНК, а ее структуру в виде двойной спирали впервые разгадали Розалинда Франклин, Морис Уилкинс, Джеймс Уотсон и Фрэнсис Крик. Структура была выявлена с помощью рентгеновской дифракционной фотографии ДНК, полученной и расшифрованной Розалиндой Франклин. Сама Розалинда умерла от рака в 1958 году, в возрасте 37 лет, до того, как ее работа получила признание, и раньше, чем ее коллегам дали за эту работу Нобелевскую премию 1962 года.
Генетический код, состоящий из триплетов нуклеотидов, был разгадан в лаборатории Крика в Кембриджском университете и в американских лабораториях М. Ниренберга, X. Г. Кораны и Р. Холли в 1961–1965 годах. Интересно, что принципы кодирующего механизма были правильно предсказаны еще в 1954 году физиком Георгием Гамовым, важнейшие исследования которого в области космологии описаны в главе 24. Было известно, что генетическая информация закодирована последовательностью четырех разных нуклеотидов, и эти нуклеотидные последовательности определяют порядок расположения 20 разных аминокислот в белках. Основываясь на этой информации, Гамов пришел к выводу, что генетический код должен основываться на нуклеотидных триплетах.
Теперь мы знаем, что белки не воспроизводят себя, а синтезируются по инструкциям, хранящимся в виде генетической информации, записанной нуклеотидной последовательностью в геномной ДНК. Для интерпретации этого послания необходима другая нуклеиновая кислота — РНК.
Мы часто слышим термин ДНК, но что это такое? Пожалуйста, посмотрите внимательно на рис. 28.4.

Рис. 28.4. Компоненты нуклеотидов РНК и ДНК.
ДНК и РНК — очень похожие и тесно связанные между собой молекулы. В их названии «НК» означает «нуклеиновая кислота», и это говорит о том, в каком месте клетки обнаруживаются обе эти молекулы — в ядре (nucleus — ядро). В термине «РНК» первая буква Р произносится как «рибо» и относится к сахару рибозе, или циклическому кольцу молекулы сахара, содержащему пять атомов углерода (две нижние правые молекулы на рис. 28.4). В «ДНК» буква Д означает дезоксирибозу, или кольцевую молекулу сахара, содержащую пять атомов углерода и очень похожую на рибозу, только без группы ОН, присоединенной к углероду на позиции 2 (2'-углерод) в кольце рибозы. Оба типа нуклеиновых кислот состоят из нуклеотидов. В нуклеотидах кольцо сахара работает как центральная молекула, которая связывает основание со своим 1'-углеродом. Как видно на рис. 28.4 (два верхних ряда и первая молекула в третьем ряду) основания состоят из циклических соединений азота и углерода. В каждой из нуклеиновых кислот используется четыре различных типа оснований. В ДНК основаниями служат аденин (А), гуанин (G), цитозин (С) и тимин (T). В РНК три основания те же самые, лишь вместо тимина используется урацил (U).
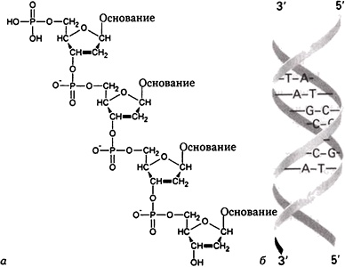
Комбинация из сахара и основания составляет единицу, называемую нуклеозидом. Чтобы образовать нуклеотид, группа фосфата (слева в нижнем ряду на рис. 28.4) соединяется с 5'-углеродом сахара. Как показано слева на рис. 28.5, фосфатные группы связывают соседние нуклеозиды (фосфо-ди-эфирная связь), чтобы создать длинные нуклеотидные цепочки. Фосфат, связанный с 5'-углеродом сахара, всегда присоединен к 3'-углероду предыдущего нуклеотида. Это означает, что цепочка всегда растет в одном направлении: новый нуклеотид может присоединиться только к 3'-положению последнего нуклеотида в цепочке, как показано на рис. 28.5 слева.
На рис. 28.5 справа вы видите нить ДНК без мелких деталей, представленных слева. ДИК состоит из двух антипараллельных копий длинных нуклеотидных цепочек, скрепленных друг с другом подходящими парами комплементарных нуклеотидов. Из-за особенностей трехмерной структуры этих пар оснований они стремятся встать друг над другом таким образом, что завивают параллельные цепочки в правильную спираль. Именно поэтому двойная спираль ДНК выглядит как винтовая лестница, а точнее — закрученная веревочная лестница, у которой две линейные магистрали, состоящие из длинных цепочек сахаров и фосфатов, удерживаются вместе парами комплементарных нуклеотидных оснований. Каждая из цепочек содержит «зеркальную» относительно второй цепочки генетическую информацию, поэтому одна из цепочек (активная) считывается, и ее информация используется для синтеза белка, а вторая цепочка нужна лишь для репликации первой.
Итак, молекула ДНК имеет две магистральные цепи, обвивающие друг друга и образующие знаменитую «двойную спираль».
Основания показаны в виде букв на ступенях этой «лестницы», соединяющих магистрали обеих нитей в единую спираль. Для воспроизводства генетической информации нуклеотидная последовательность ДНК копируется (реплицируется) на параллельную нить, образующую затем с исходной нитью двойную спираль. Интересно, что вторая цепь двойной спирали идет не в том же направлении, что исходная цепь ДНК, и, хотя она состоит из таких же нуклеотидов, их порядок имеет противоположное направление, и располагаются они по принципу дополнительности: А соединяется с T, а G соединяется с С.

Рис. 28.5. Объединение нуклеотидов в нить ДНК (а) и то, как эти нити соединяются в двойную спираль посредством взаимодействия комплементарных оснований (б).
Прочитали книгу? Предлагаем вам поделится своим впечатлением! Ваш отзыв будет полезен читателям, которые еще только собираются познакомиться с произведением.
Оставить комментарий
-
Вера Попова10 октябрь 15:04
Захватывает,понравилось, позитивно, рекомендую!Спасибо автору за хорошую историю!
Подарочек - Салма Кальк
-
Лиза04 октябрь 09:48
Роман просто супер давайте продолжение пожалуйста прочитаю обязательно Плакала я только когда Полина искала собаку Димы барса ♥️ Пожалуйста умаляю давайте еще !))
По осколкам твоего сердца - Анна Джейн
-
yokoo18 сентябрь 09:09
это прекрасный дарк роман!^^ очень нравится
#НенавистьЛюбовь. Книга вторая - Анна Джейн
-
Гость Алла10 август 14:46
Мне очень понравилась эта книга, когда я её читала в первый раз. А во второй понравилась еще больше. Чувствую,что буду читать и перечитывать периодически.Спасибо автору
Выбор без права выбора - Ольга Смирнова


