Читать книгу - "Простая одержимость. Бернхард Риман и величайшая нерешенная проблема в математике - Джон Дербишир"
Осталось заметить еще только одну вещь перед тем, как мы приступим к сумме ∑ρLi(20ρ). Показанная спираль — что лучше всего видно из рисунка 21.3 — стремится к точке своего назначения не слишком быстро. Скорость, с которой она сходится, по сути дела гармоническая: если представить себе, что муравей Арг шагает на север по критической прямой, а на его приборчике выставлена функция Li(20ρ), то муравей Знач будет двигаться по спирали, постепенно приближаясь к точке πi — приближаясь на расстояние, обратно пропорциональное высоте, на которую забрался муравей Арг. Если последний вскарабкался на высоту T, то муравей Знач будет находиться от точки πi примерно на расстоянии, пропорциональном 1/T.
Имея это в виду, мы теперь готовы взяться за сумму ∑ρLi(20ρ). Сложению подлежат комплексные числа, соответствующие всем нашим точкам на спирали, изображенной на рисунке 21.3, а также их комплексно сопряженным точкам на соответствующей южной части спирали. Поскольку для каждой точки северной спирали имеется ее зеркальное отображение на южной, все мнимые части сократят друг друга: для каждого a + bi найдется соответствующее a − bi, так что при их сложении получится просто 2a. Ну и отлично, потому что J(x) — вещественное число, и решительно не годится иметь мнимые слагаемые в правой части выражения (21.1)! Это и вправду хорошая новость, потому что она означает, что складывать надо только вещественные (т.е. западно-восточные) части точек на рисунке 21.3. Вклад южного полушария сводится просто к тому, что ответ удваивается, т.е. (a + bi) + (a − bi) = 2а.
Остальные новости похуже. Точки, раскиданные по спирали на рисунке 21.3, как уже было замечено, сходятся к числу πi — а их вещественные части, стало быть, сходятся к нулю — с гармонической скоростью. Сложение вещественных частей всех этих точек, следовательно, чревато опасностью, что мы будем складывать нечто вроде гармонического ряда, который, как мы помним из главы 1, расходится. Откуда нам знать, что сумма ∑ρLi(20ρ) сходится?
Делу помогает тот факт, что вещественные части этих точек то положительны, то отрицательны. На самом деле наша сумма похожа не на гармоническую сумму, а на ее близкого родственника, с которым мы бегло встречались в главе 9.vii:
Слагаемые здесь приближаются к нулю гармонически: 1, 1/2, 1/3, 1/4, 1/5, …, но чередующиеся знаки плюс и минус означают, что каждый следующий член до некоторой степени сокращает предыдущий, что и приводит к сходимости. Но эта сходимость, если использовать введенную в главе 9.vii терминологию, лишь условна. Она зависит от суммирования всех членов в правильном порядке.
Так же обстоит дело и с рядом ∑ρLi(20ρ). Если мы желаем обеспечить сходимость к правильному числу, то нам следует проявлять осторожность относительно порядка суммирования. Так каков же правильный порядок? Он ровно такой, как вы и подумали. Берем нули один за другим, двигаясь вверх по критической прямой, и прибавляем к каждому его комплексно-сопряженный нуль из южной части.
VII.
Итак, для вычисления суммы ∑ρLi(20ρ) мы сначала складываем каждый нуль дзета-функции с его зеркальным образом (т.е. с комплексным сопряжением) из южной половины плоскости аргумента. Далее эти пары надо сложить в порядке возрастания положительных мнимых частей. Таким образом, мы складываем нули в следующем порядке:
Чтобы посмотреть, что же получается в результате этого процесса, и разобраться в том, почему Риман назвал этот вторичный член «периодическими членами», поупражняемся немного в арифметике, используя конкретные значения буквы x. Как и раньше, возьмем x = 20; тем самым мы вычисляем величину J(20) — что, как несложно проверить из исходного определения функции J, равно 97/12 т.е. 9,5833333…. Вот как это получается.
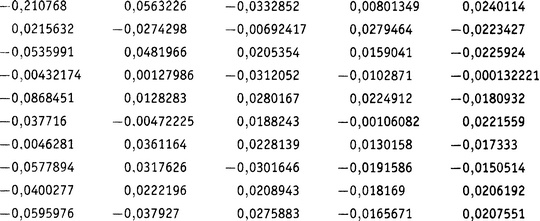
Сначала возводим 20 в степень 1/2 + 14,134725i. В результате получаем точку, которая на рисунке 21.2 помечена как 1 и численно выражается как −0,302303 − 4,46191i. Интегральный логарифм от этого — т.е. функция Li — дает самую западную точку на рисунке 21.3, выражаемую числом −0,105384 + 3,14749i. Теперь разберемся с сопряженным членом из этой пары нулей. Возводим 20 в степень 1/2 − 14,134725i. Результат равен −0,302303 + 4,46191i. Он показан на средней картинке на рисунке 21.4. Это зеркальный образ точки, помеченной на рисунке 21.2 как 1, относительно вещественной оси. Берем интегральный логарифм и получаем ответ −0,105384 − 3,14749i — точку, лежащую глубоко на юге в правой части рисунка 21.4. Складывая два ответа, получаем −0,210768. Мнимые части, разумеется, сократились. Вот и все с первой парой сопряженных нулей.
Повторим все это для второй пары, 1/2 + 21,022040i и 1/2 − 21,022040i. На этот раз окончательный ответ будет равен 0,0215632. Для третьей пары он равен −0,0535991. С тремя парами мы разобрались, но впереди бесконечность!
После 50 таких вычислений получаем (таблицу следует читать по колонкам):

Первое значение представляет собой некоторую аномалию, поскольку самая западная точка на рисунке 21.3 отстоит от вертикальной оси более чем в два раза дальше, чем остальные. Однако затем числа в таблице уменьшаются по мере того, как значения, соответствующие северной половине критической прямой, по спирали приближаются к πi. И взгляните на их знаки — имеется примерно равное число положительных и отрицательных.[199] Это хорошая новость, потому что, хотя ответы и становятся меньше, они делают это не очень быстро, и нам потребуется вся возможная помощь, которую могут нам оказать сокращения между положительными и отрицательными значениями. Не будем забывать, что все это происходит под знаком суммы — эти 50 чисел предстоит еще сложить друг с другом. (Сумма равна −0,343864, что, кстати, составляет не более 8 процентов от полной бесконечной суммы. Не так плохо для всего лишь 50 слагаемых.)
Прочитали книгу? Предлагаем вам поделится своим впечатлением! Ваш отзыв будет полезен читателям, которые еще только собираются познакомиться с произведением.
Оставить комментарий
- Яна29 май 16:31Двойное отцовство - Таня ВолодинаКлассная история! Не похожа ни на одну про отношения МЖМ, которые я читала до этого. Очень приятные харизматичные герои, мастерски написанные характеры главных
- Аида06 май 10:49Дикарь королевских кровей. Книга 2. Леди-фаворитка - Анна Сергеевна ГавриловаЧитала легко, местами хоть занудно. Но, это лучше, чем 70% подобной тематики произведений.
- вера02 май 00:32Сокровище в пелёнках - Ирина Агуловатекст не четкий трудно читать наверное надоест сброшу книгу может посоветуете как улучшить
- Калинин максим30 апрель 10:11Время Темных охотников - Евгений ГаглоевНедавно прочитал книгу «Время тёмных охотников» и хочу поделиться своими впечатлениями. Автор создал увлекательный мир, полный тайн и загадок. Сюжет затягивает с первых







