Читать книгу - "Космос - Карл Эдвард Саган"
Аннотация к книге "Космос - Карл Эдвард Саган", которую можно читать онлайн бесплатно без регистрации
Мы приведем современную версию доказательства иррациональности квадратного корня из двух, опирающуюся на reductio ad absurdum и простые алгебраические выкладки, а не чисто геометрическое доказательство, открытое пифагорейцами. Стиль доказательства и способ размышления не менее интересны, чем получаемый результат.
Рассмотрим квадрат со стороной, равной единице (одному сантиметру, одному дюйму, одному световому году — не суть важно).

Диагональ ВС делит квадрат на два прямоугольных треугольника. В таких прямоугольных треугольниках, согласно теореме Пифагора, 12 + 12 = х2. Поскольку 12 +12 = 1 + 1 = 2, то х2 = 2, и мы можем записать, что х = √2, то есть корню квадратному из двух. Предположим, что √2 является рациональным числом, то есть √2 = p/q, где p и q — целые числа. Они могут быть любыми, сколь угодно большими, но обязательно целыми числами. Мы, конечно, потребуем, чтобы у них не было общих делителей. Если мы, например, заявляем, что √2 = 14/10, то, безусловно, можем сократить эту дробь на множитель 2 и записать: p = 7, q = 5 вместо p = 14, q = 10. Будем далее считать, что у числителя и знаменателя сокращены все общие множители. Для выбора значений p и q y нас остается бесконечное число вариантов. Возведя в квадрат равенство √2 = p/q, получим: 2 = р2/q2, или после домножения обеих частей на q2:
p2 = 2q2 (1)
Таким образом, р2 представляет собой некоторое число, умноженное на 2. Однако квадрат любого нечетного числа является нечетным числом (12 = 1,32 = 9,52 = 25,72 = 49 и т. д.). Получается, что само число ρ должно быть четным, то есть можно записать ρ = 2s, где s — некоторое целое число. Подставив его в уравнение (1), находим:
p2 = (2s)2 = 4s2 = 2q2.
Деление обеих частей последнего равенства на 2 дает: g 2 = 2s 2. То есть q 2 тоже является целым числом, и, опираясь на тот же аргумент, что был использован для р, мы заключаем, что q тоже является четным. Но если числа p и q оба делятся на два, значит, они содержат несокращенный общий делитель, что противоречит нашему предположению. Reductio ad absurdum. Но в чем состояло предположение? Доказательство не может запретить нам сократить общие множители, разрешив использовать 14/10, но запретив 7/5. Поэтому ошибочным должно быть начальное предположение: p и q не могут быть целыми числами, a √2 является иррациональным числом. В действительности √2 = 1,4142135…
Насколько ошеломляющее и неожиданное заключение! Какое элегантное доказательство! Но пифагорейцы считали необходимым скрывать это великое открытие.
Правильный многоугольник — это двумерная фигура с определенным числом η одинаковых сторон. В случае η = 3 получается равносторонний треугольник, при η = 4 — квадрат, при η = 5 — правильный пятиугольник и т. д. Многогранник — это трехмерная фигура, все стороны которой являются многоугольниками. Например, куб имеет шесть квадратных граней. Правильным называют многогранник, все грани которого представляют собой одинаковые правильные многоугольники, причем в каждой вершине сходится одинаковое число граней. Для работ пифагорейцев и Кеплера фундаментальное значение имеет факт, что существует пять, и только пять, правильных тел. Простейшее доказательство этого факта можно получить из открытого значительно позже Декартом и Леонардом Эйлером соотношения, связывающего число граней F, число ребер Е и число вершин И в любом многограннике:
V — E + F = 2. (2)
Так, у куба 6 граней (F = 6) и 8 вершин (V = 8). Отсюда получаем: 8 — Ε + 6 = 2; 14 — Е = 2 и Ε = 12.
Уравнение (2) предсказывает, что у куба 12 ребер, и это соответствует действительности. Простое геометрическое доказательство уравнения (2) можно найти в книге Куранта и Роббинса «Что такое математика?»[243]. Пользуясь уравнением (2), легко доказать, что существует всего пять правильных тел.
Каждое ребро правильного многогранника является общей стороной двух прилегающих друг к другу граней. Возвращаясь к примеру с кубом: каждое ребро — это граница между двумя квадратами. Если мы подсчитаем все стороны всех граней многогранника ηF, то каждое ребро окажется сосчитанным дважды, то есть
ηF = 2E (3)
Обозначим r число ребер, которые сходятся в одной вершине. Для куба r = 3. Кроме того, каждое ребро соединяет две вершины. Если мы подсчитаем концы всех ребер /V, то вновь сосчитаем каждую вершину дважды, то есть
rV = 2E (4)
Подставляя выражения для V и F из уравнений (3) и (4) в уравнение (2), получаем:
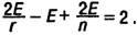
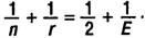
Деление обеих частей уравнения на 2Е дает:
(5)
Мы знаем, что значение η не может быть меньше 3, поскольку треугольник является простейшим многоугольником. Нам также известно, что r не может быть меньше 3, поскольку в каждой вершине многогранника сходится не меньше трех граней. Если η и r одновременно будут больше 3, то с учетом того, что они являются целыми числами, левая часть уравнения (5) окажется меньше либо равна 1/2, и ни при каком значении Е оно не будет превращаться в равенство. Таким образом, осуществив reductio ad absurdum, мы доказали, что либо π =3 и r ≥ 3, либо r = 3 и π ≥ 3.
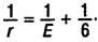
Если η = 3, уравнение (5) принимает вид
(1/3) + (1/r) = (1/2) + (1/Е) или
(6)
В данном случае r может принимать только значения 3, 4 и 5. (При η, равном и большем 6, уравнение не имеет решений.) Значения n = 3, r = 3 соответствуют многограннику, у которого в каждой вершине сходится по три треугольника. Согласно уравнению (6) он имеет 6 ребер; согласно уравнению (3) у него 4 грани; согласно уравнению (4) — 4 вершины. Очевидно, что это пирамида, или тетраэдр. При n = 3, r = 4 получаем восьмигранник, у которого в каждой вершине сходится по четыре треугольные грани, — октаэдр. Значения n = 3, r = 5 соответствуют икосаэдру — многограннику с двадцатью треугольными гранями, в каждой вершине которого сходится по пять треугольников.
Прочитали книгу? Предлагаем вам поделится своим впечатлением! Ваш отзыв будет полезен читателям, которые еще только собираются познакомиться с произведением.
Оставить комментарий
-
Вера Попова27 октябрь 01:40
Любовь у всех своя-разная,но всегда это слово ассоциируется с радостью,нежностью и счастьем!!! Всем добра!Автору СПАСИБО за добрую историю!
Любовь приходит в сентябре - Ника Крылатая
-
Вера Попова10 октябрь 15:04
Захватывает,понравилось, позитивно, рекомендую!Спасибо автору за хорошую историю!
Подарочек - Салма Кальк
-
Лиза04 октябрь 09:48
Роман просто супер давайте продолжение пожалуйста прочитаю обязательно Плакала я только когда Полина искала собаку Димы барса ♥️ Пожалуйста умаляю давайте еще !))
По осколкам твоего сердца - Анна Джейн
-
yokoo18 сентябрь 09:09
это прекрасный дарк роман!^^ очень нравится
#НенавистьЛюбовь. Книга вторая - Анна Джейн


